М
Молодежь
К
Компьютеры-и-электроника
Д
Дом-и-сад
С
Стиль-и-уход-за-собой
П
Праздники-и-традиции
Т
Транспорт
П
Путешествия
С
Семейная-жизнь
Ф
Философия-и-религия
Б
Без категории
М
Мир-работы
Х
Хобби-и-рукоделие
И
Искусство-и-развлечения
В
Взаимоотношения
З
Здоровье
К
Кулинария-и-гостеприимство
Ф
Финансы-и-бизнес
П
Питомцы-и-животные
О
Образование
О
Образование-и-коммуникации
amaliyaazlzova
amaliyaazlzova
27.12.2020 19:42 •  Математика

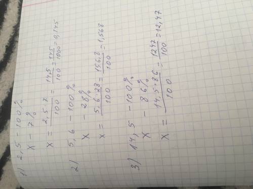
Б) 7% от 2,5; в) 28% от 5,6; г) 86% от 14,5;

👇
Ответ:
DarkOP
DarkOP
27.12.2020

0.175

1.568

12.47

Пошаговое объяснение:

4,8(69 оценок)
Ответ:
ulpan041
ulpan041
27.12.2020

Смотрите нижеответ:

Пошаговое объяснение:


Б) 7% от 2,5; в) 28% от 5,6; г) 86% от 14,5;
4,4(69 оценок)
Открыть все ответы
Ответ:
aaaa1111111111
aaaa1111111111
27.12.2020
Представим себе несколько точек. Расстояние от первой до второй назовем a₁, расстояние от второй до третьей - a₂ и т.д.
Тогда расстояние от первой до третьей равно a₁+a₂;
От первой до четвертой равно a₁+a₂+a₃
От первой до 100100 равно a₁+a₂+a₃+...+a₁₀₀₀₉₉;
По условию сумма всех этих расстояний равна 2016.
То есть: a₁+(a₁+a₂)+(a₁+a₂+a₃)+...+(a₁+a₂+a₃+...+a₁₀₀₀₉₉) = 2016
Раз a₁ присутствует везде, то кол-во a₁ равняется 100099 или 100099a₁
a₂ присутствует во всех скобках, кроме одной, тогда кол-во a₂ равно 100098 или 100098a₂
Перепишем сумму по-другому: 100099a₁+100098a₂+100097a₃+...+a₁₀₀₀₉₉=2016
По условию, сумма расстояний от второй точки до всех остальных равна 1918
То есть a₁+a₂+(a₂+a₃)+(a₂+a₃+a₄)+...+(a₂+a₃+a₄+...+a₁₀₀₀₉₉) = 1918
a₂ появляется 100098 раз. Остальные аналогично.
Другими словами a₁+100098a₂+100097a₃+...+a₁₀₀₀₉₉ = 1918 
Найдем разность двух сумм: 2016-1918 = 98
И, если внимательно посмотреть, то 2 суммы отличаются лишь тем, что в одной 100099a₁, а в другой лишь одно a₁,
или 100099a₁-a₁ = 98
100098a₁ = 98
a1 = 98/100098 = 49/50049
Не знаю насколько верно(
4,7(53 оценок)
Ответ:

1.38*3= 114 ц со 2 участка

114+38=152 ц всего

152*1/4=38 ц отправили в овощехранилище

2.(14+а•7):7=42-37

14+7а=5*7

14+7а=35

7а=35-14

7а=21

а=21:7

а=3

3.140+65= 205 книг во второй день

140+205=345 книг за 2 дня

Или выражением

140+(140+65)= 345

4.138+189-118=(138-118)+189= 20+189=209

243+589-489= 243+ 100= 343

245*25*8= 245*200 = 49000

38*37+63*38= 38(37+63)= 38* 100= 3800

5.465×204-8904÷(22×308-6692)= 1)22×308=6776. 2)6776-6692=84. 3)8904÷84=106. 4)465×204=94860. 5)94860-106=94754

6. ) 65*4=260 км проедет за 4 часа

2) 390-260=130 км еще нужно проехать

7. 39:3=13 кг слив в одном ящике

104:13=8 ящиков

8. 1) 140:2=70(стр.)-Лена прочитала половину книги;

2)70+5=75(стр.)-Лена прочитала всего из книги;

3)140-75=65(стр.)-Осталось Лене прочитать в книге;

ответ:65 страниц осталось прочитать Лене.

9.  Сначала переводим:

8 ч 36 мин = 516 мин

364 ч 48 мин = 21888 мин

Решаем:

1) 516 мин * 475 = 245100 мин

2) 21888:24 = 912 мин

3) 245100 - 912 = 244188 мин

Переводим обратно в часы:

244188 мин =244188:60 = 4069,8 = 4069 ч 8 мин

ответ: 4069 ч 8 мин

4,7(68 оценок)
Это интересно:
Новые ответы от MOGZ: Математика
logo
Вход Регистрация
Что ты хочешь узнать?
Спроси Mozg
Открыть лучший ответ