М
Молодежь
К
Компьютеры-и-электроника
Д
Дом-и-сад
С
Стиль-и-уход-за-собой
П
Праздники-и-традиции
Т
Транспорт
П
Путешествия
С
Семейная-жизнь
Ф
Философия-и-религия
Б
Без категории
М
Мир-работы
Х
Хобби-и-рукоделие
И
Искусство-и-развлечения
В
Взаимоотношения
З
Здоровье
К
Кулинария-и-гостеприимство
Ф
Финансы-и-бизнес
П
Питомцы-и-животные
О
Образование
О
Образование-и-коммуникации
Frolinng
Frolinng
27.01.2020 10:40 •  Математика

Раскрой скобки и у выражение

👇
Ответ:
Koul637
Koul637
27.01.2020

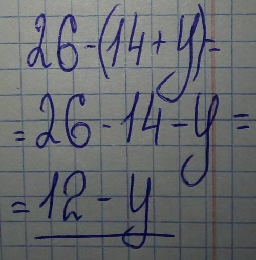
26-(14+у) = 26-14-у= 12-у

4,4(51 оценок)
Ответ:
578fyvhjj
578fyvhjj
27.01.2020

В приложении

Если мой ответ Вам

Отметте его ЛУЧШИМ


Раскрой скобки и у выражение
4,5(87 оценок)
Открыть все ответы
Ответ:
Lizevette
Lizevette
27.01.2020

1) S = 1/2 * AB * AC = 1/2 * 12 * 8 = 6 * 8 = 48 см^2

2) S = 1/2 * h(высота треугольника опущенная из вершины B к основанию AC)

так как треугольник равнобедренный, то высота еще и медиана, то есть A(точка касания высоты основания) = (точка касания высоты основания)C

Найдем высоту по теореме Пифагора: h = sqrt(AB^2 - (AC/2)^2) = sqrt(10^2 - 4^2) = sqrt(100 - 16) = sqrt(84) = 2sqrt(21)

S = 1/2 * 2sqrt(21) * 8 = 8sqrt(21) см^2

3) Так как треугольник равносторонний то все углы по 60 градусов тогда S = 1/2 * AB * AC * sin(60) 1/2 * 6^2 * (sqrt(3)/2) = 18 * (sqrt(3)/2) = 9sqrt(3) см^2

4) полупериметр равен (7+8+9)/2 = 24/2 = 12 см^2

тогда по формуле Герона: S = sqrt(12 * (12-7) * (12-8) * (12-9)) = sqrt(12 * 5 * 4 * 4) = sqrt(960) см^2

4,5(95 оценок)
Ответ:
zhalamine
zhalamine
27.01.2020
А) sinxcosx+√3 cos^2x=0
cosx(sinx+√3cosx)=0
произведение двух сомножителей равно нулю тогда, когда хотя бы один из множителей равен 0, а другой при этом существует
cosx=0
x=Π/2+Πn, n€Z
sinx+√3cosx=0 | : на cosx
tgx+√3=0
tgx=-√3
x=-Π/3+Πk, k€Z
ответ: -Π/3+Πk, k€Z; Π/2+Πn, n€Z
б) cos2x+9sinx+4=0
1-2sin^2x+9sinx+4=0
-2sin^2x+9sinx+5=0
Пусть t=sinx, где t€[-1;1], тогда
-2t^2+9t+5=0
D=81+40=121
t1=-9-11/-4=5 посторонний корень
t2=-9+11/-4=-1/2
Вернёмся к замене
sinx=-1/2
x1=-5Π/6+2Πn, n€Z
x2=-Π/6+2Πn, n€Z
ответ: -5Π/6+2Πn, -Π/6+2Πn, n€Z
4,7(81 оценок)
Это интересно:
Новые ответы от MOGZ: Математика
logo
Вход Регистрация
Что ты хочешь узнать?
Спроси Mozg
Открыть лучший ответ