М
Молодежь
К
Компьютеры-и-электроника
Д
Дом-и-сад
С
Стиль-и-уход-за-собой
П
Праздники-и-традиции
Т
Транспорт
П
Путешествия
С
Семейная-жизнь
Ф
Философия-и-религия
Б
Без категории
М
Мир-работы
Х
Хобби-и-рукоделие
И
Искусство-и-развлечения
В
Взаимоотношения
З
Здоровье
К
Кулинария-и-гостеприимство
Ф
Финансы-и-бизнес
П
Питомцы-и-животные
О
Образование
О
Образование-и-коммуникации
cocles
cocles
08.12.2020 22:45 •  Математика

Найдите наибольшее целое значение а, при котором разность дробей 14-2а/3 и 4-а/4 положительна​

👇
Ответ:
vika14112006
vika14112006
08.12.2020

Пошаговое объяснение:

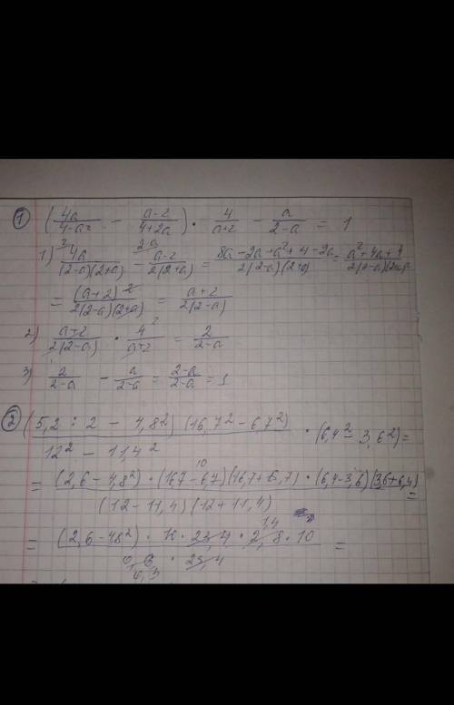
ответ так выходит обьчснение на фото


Найдите наибольшее целое значение а, при котором разность дробей 14-2а/3 и 4-а/4 положительна​
4,8(1 оценок)
Ответ:
куся26
куся26
08.12.2020

Пошаговое объяснение:

14-2а/3 - 4-а/4>0

4(14-2a)-3(4-a)>0

56-8a-12+3a>0

-5a+44>0

-5a<-44

a<-44÷(-5)

a<8,8

наибольшее целое значение а=8

4,6(91 оценок)
Открыть все ответы
Ответ:
kmullagalieva
kmullagalieva
08.12.2020
2,3,4 =42 р
1,3,4 = 40 руб
1,2,4 = 38 руб
1,2,3 = 36 руб.
Так видно, что каждая книга повторяется три раза. Значит если мы купим три 1 книги, три 2 книги, три 3 книги и три 4 книги, то нам надо заплатить 42+40+38+36=156 руб. Чтобы узнать сколько стоит один комплект книг 156:3=52 руб.
Теперь смотрим, если все четыре книги стоят 52 руб, а без первой 42 руб, значит 1 книга стоит 52-42=10 руб.
Если все 4 книги стоят 52 руб, а без 2 книги 40 руб. , значит 2 книга стоит 52-40=12 руб
Если все 4 книги стоят 52 руб, а без 3 книги 38 руб. , значит 3 книга стоит 52-38=14 руб
Если все 4 книги стоят 52 руб, а без 4 книги 36 руб. , значит 4 книга стоит 52-36=16 руб
4,4(78 оценок)
Ответ:
mirimyan79
mirimyan79
08.12.2020

В магазине выставлены для продажи 20 изделий, среди которых 4 изделий некачественных. Какова вероятность того, что взятые случайным образом 5 изделия будут:

а) качественными;

б) хотя бы один из них будет качественным;

в) ни одного качественного изделия.

Общее число элементарных исходов — это число которым мож­но вынуть 5 изделия из 20. Оно равно числу сочетаний из 20 элементов по 5.

n = 

а) 5 качественных изделий из 20 – 4 = 16-ти качественных можно взять Поэтому вероятность выборапятикачественных изделий равна

в) 4 некачественных изделия из 5-ти можно взять Поэтому вероятность выбора трёх некачественных изделий равна

б) Событие А, что хотя бы одно из них будет качественным, противоположно событию B— «все изделия некачественные», поэтому=0,9989.

ответ: а) 0,28 б) 0,9989 в) 0,0011

4,6(95 оценок)
logo
Вход Регистрация
Что ты хочешь узнать?
Спроси Mozg
Открыть лучший ответ