М
Молодежь
К
Компьютеры-и-электроника
Д
Дом-и-сад
С
Стиль-и-уход-за-собой
П
Праздники-и-традиции
Т
Транспорт
П
Путешествия
С
Семейная-жизнь
Ф
Философия-и-религия
Б
Без категории
М
Мир-работы
Х
Хобби-и-рукоделие
И
Искусство-и-развлечения
В
Взаимоотношения
З
Здоровье
К
Кулинария-и-гостеприимство
Ф
Финансы-и-бизнес
П
Питомцы-и-животные
О
Образование
О
Образование-и-коммуникации
M1A1T1E1M1AT1I1K
M1A1T1E1M1AT1I1K
27.02.2020 02:40 •  Математика

Решить уравнение: 12/7=4/21х

👇
Ответ:

1) 12/7 = 4/21х;

4/21x = 12/7;

x = 12/7 ÷ 4/21;

x = 12/7 × 21/4;

x = 12 × 21/7 × 4;

x = 3 × 3/1 × 1;

x = 9/1;

x = 9.

ответ: 9.

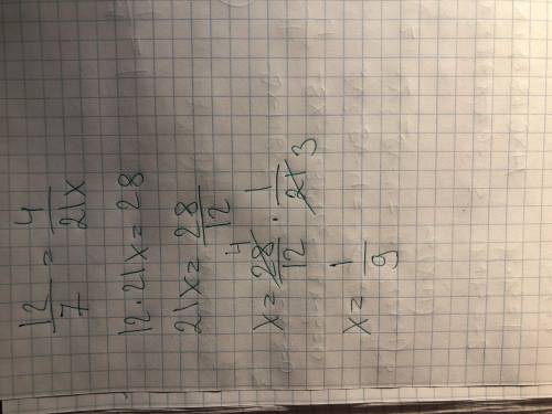
2) 12/7 = 4/21х;

12 × 21x = 7 × 4;

12 × 21x = 28;

21x = 28 ÷ 12;

21x = 28/12;

x = 28/12 ÷ 21;

x = 28/12 × 1/21;

x = 28 × 1/12 × 21;

x = 1 × 1/ 3 × 3;

x = 1/9.

ответ: 1/9.

___________

Удачи Вам! :)


Решить уравнение: 12/7=4/21х
4,6(34 оценок)
Ответ:
kaltaeva98
kaltaeva98
27.02.2020

ответ:1/9

Пошаговое объяснение:

4,4(74 оценок)
Открыть все ответы
Ответ:
Щорічно, щоб виростити потомство, переважна більшість птахів влаштовує гнізда. У помірних широтах і в холодних країнах гніздування починається навесні, а закінчується влітку, коли пташенята порівнюються розмірами з дорослими птахами. Але так буває не скрізь. Адже на земній кулі чимало місць, де зміни пір року немає. У деяких тропічних країнах літо триває весь рік, в інших місцях відбувається щорічна зміна посушливого і дощового сезонів. Як же в такому випадку визначити час розмноження птахів? Для всієї земної кулі правило загальне: птахи починають гніздитися в такі строки, щоб вигодовування виводка і перші дні життя пташенят поза гніздом припадали на найбільш багате їжею час. Якщо у нас це весна і літо, то в саванах Африки більшість птахів гніздяться відразу ж після початку дощів, коли буйно розвивається рослинність і з’являється багато комах. Виняток становлять тут хижі птахи, особливо харчуються наземними звірками. Вони гніздяться лише під час посухи. Коли вигорає рослинність, їм легко знаходити на землі свою видобуток, якій ніде сховатися. У тропічних лісах птахи гніздяться круглий рік. Вважається звичайно, що всі птахи, виводячи пташенят, будують спеціальні гнізда для насиджування яєць. Але це не так: чимало птахів, що гніздяться на землі, обходяться без цього гнізда. Наприклад, невелика буро-сіра птах Козодой відкладає пару яєць прямо на лісову підстилку, найчастіше на опале хвою. Невелике поглиблення утворюється пізніше, тому що птах весь час сидить на одному і тому ж місці. Навколополярна Кайра теж не будує гнізда. Вона кладе своє єдине яйце на голий виступ скелі берегового обриву. Багатьом чайкам і куликам досить невеликого поглиблення в піску, іноді вони використовують слід оленячого копита.
4,6(94 оценок)
Ответ:
Dgj8
Dgj8
27.02.2020
В ліс весняний підем, діти, Ніби в дім високий, світлий. Лиш тому, хто вірить в казку, Ліс дарує ніжну ласку. Там під дубом зайченята Вийшли всі на фіззарядку, Там вовчисько на світанку Косить сіно для сніданку. Грає там з палким запалом Лось могутній на цимбалах, А ведмідь біля болота, Ремонтує буслу боти. Пісня там, і сміх, і квіти! Тільки ж знайте, любі діти, Що в лісах весняних диво Ходить легко і красиво, Що мурашки, птахи й звірі Стрінуть вас, як друзі щирі. Леонід Дейнека ” У весняному лісі ”
4,6(46 оценок)
Это интересно:
Новые ответы от MOGZ: Математика
logo
Вход Регистрация
Что ты хочешь узнать?
Спроси Mozg
Открыть лучший ответ