М
Молодежь
К
Компьютеры-и-электроника
Д
Дом-и-сад
С
Стиль-и-уход-за-собой
П
Праздники-и-традиции
Т
Транспорт
П
Путешествия
С
Семейная-жизнь
Ф
Философия-и-религия
Б
Без категории
М
Мир-работы
Х
Хобби-и-рукоделие
И
Искусство-и-развлечения
В
Взаимоотношения
З
Здоровье
К
Кулинария-и-гостеприимство
Ф
Финансы-и-бизнес
П
Питомцы-и-животные
О
Образование
О
Образование-и-коммуникации
14.01.2023 18:54 •  Математика

БЫСТРО ДАТЬ ДОЛГИЙ ОТВЕТ НА ЭТО УРАВНЕНИЕ!!
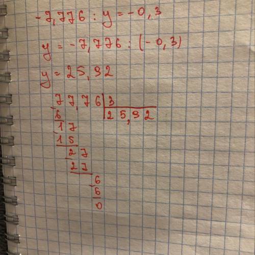
-7,776 ÷ y = -0,3

👇
Ответ:
290720031
290720031
14.01.2023
у=25,92
Смотри решение на фото
4,5(48 оценок)
Ответ:
73Женя91
73Женя91
14.01.2023

25,92

Пошаговое объяснение:

у= -7,776: (-0,3)

у = 25,92

лучший ответ


БЫСТРО ДАТЬ ДОЛГИЙ ОТВЕТ НА ЭТО УРАВНЕНИЕ!! -7,776 ÷ y = -0,3
4,6(2 оценок)
Открыть все ответы
Ответ:
20софа05
20софа05
14.01.2023
1) Ich grub im Garten ein Loch fuer den Baum. Ich habe im Garten ein Loch fuer den Baum gegraben.
2) Ich trug das schwere Paket. Ich habe das schwere Paket trage.
3) Ich schlug das Kind nicht. Ich habe das Kind nicht geschlagen.
4) Ich fuhr den Freund zum Bahnhof. Ich bin den Freund zum Bahnhof gefahren.
5) Ich lud den Revolver. Ich habe den Revolver geladen.
6) Ich schuff (schaffte) ein Kunstwerk. Ich habe ein Kunstwerk geschaffen (geschafft).
7) Ich wusch die Handschuhe mit Wasser und Seife. Ich habe die Handschuhe mit Wasser und Seife gewaschen.
8) Ich buck (backte) Torte. Ich habe eine Tort gebacken.
9) Das durstige Pfred sauft.
4,7(11 оценок)
Ответ:
                       Скорость             Время           Расстояние
                       56,4 км/ч                3 ч                      ?
                       62,7 км/ч                4 ч                      ?

1) 56,4 * 3 = 169,2 (км) - проехал автомобиль за 3 часа;
2) 62,7 * 4 = 250,8 (км) - проехал автомобиль за 4 часа;
3) 169,2 + 250,8 = 420 (км) - всё расстояние;
4) 3 + 4 = 7 (ч) - всё время;
5) 420 : 7 = 60 (км/ч) - средняя скорость автомобиля на всём пути.
Выражение: (56,4 * 3 + 62,7 * 4) : (3 + 4) = 60
ответ: 60 км/ч.
                             
4,7(78 оценок)
Это интересно:
Новые ответы от MOGZ: Математика
logo
Вход Регистрация
Что ты хочешь узнать?
Спроси Mozg
Открыть лучший ответ