М
Молодежь
К
Компьютеры-и-электроника
Д
Дом-и-сад
С
Стиль-и-уход-за-собой
П
Праздники-и-традиции
Т
Транспорт
П
Путешествия
С
Семейная-жизнь
Ф
Философия-и-религия
Б
Без категории
М
Мир-работы
Х
Хобби-и-рукоделие
И
Искусство-и-развлечения
В
Взаимоотношения
З
Здоровье
К
Кулинария-и-гостеприимство
Ф
Финансы-и-бизнес
П
Питомцы-и-животные
О
Образование
О
Образование-и-коммуникации
marisa10
marisa10
12.10.2021 15:46 •  Математика

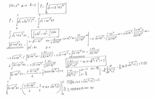
Найти длину дуги y^2=2x
xє[0,1]

👇
Ответ:
mylifeartem
mylifeartem
12.10.2021

Надеюсь то если неправильно извини )

Пошаговое объяснение:


Найти длину дуги y^2=2x xє[0,1]
4,4(39 оценок)
Открыть все ответы
Ответ:
Дурачок225
Дурачок225
12.10.2021

Лёгкая задача, надеюсь "манаты" - это типо рубли, а "гяпики" - это копейки («*» - умножение, «/» - деление)

Пошаговое объяснение:

1.Перевсти 9 манатов 75 гяпик в гяпики: 9*100+75=975 гяпик.

2. Узнать сколько было куплено тетрадей: 975/75=13 тетрадей.

3. Перевести 6 матов 65 гапик в гяпики: 6*100+65=665 гяпик.

4. Узнать сколько было куплено ручек: 665/95=7

5. По сколько тетрадий было куплено больше, чем ручек, то от количества тетрадей обнимаем количество ручек: 13-7=6.

ответ: тетрадей было куплено на 6 штук больше, чем ручек

4,7(30 оценок)
Ответ:
fedoroff67rusZah
fedoroff67rusZah
12.10.2021

Лёгкая задача, надеюсь "манаты" - это типо рубли, а "гяпики" - это копейки («*» - умножение, «/» - деление)

Пошаговое объяснение:

1.Перевсти 9 манатов 75 гяпик в гяпики: 9*100+75=975 гяпик.

2. Узнать сколько было куплено тетрадей: 975/75=13 тетрадей.

3. Перевести 6 матов 65 гапик в гяпики: 6*100+65=665 гяпик.

4. Узнать сколько было куплено ручек: 665/95=7

5. По сколько тетрадий было куплено больше, чем ручек, то от количества тетрадей обнимаем количество ручек: 13-7=6.

ответ: тетрадей было куплено на 6 штук больше, чем ручек

4,7(47 оценок)
Это интересно:
Новые ответы от MOGZ: Математика
logo
Вход Регистрация
Что ты хочешь узнать?
Спроси Mozg
Открыть лучший ответ