М
Молодежь
К
Компьютеры-и-электроника
Д
Дом-и-сад
С
Стиль-и-уход-за-собой
П
Праздники-и-традиции
Т
Транспорт
П
Путешествия
С
Семейная-жизнь
Ф
Философия-и-религия
Б
Без категории
М
Мир-работы
Х
Хобби-и-рукоделие
И
Искусство-и-развлечения
В
Взаимоотношения
З
Здоровье
К
Кулинария-и-гостеприимство
Ф
Финансы-и-бизнес
П
Питомцы-и-животные
О
Образование
О
Образование-и-коммуникации
lenabota1
lenabota1
27.01.2021 01:13 •  Математика

Решить уравнение
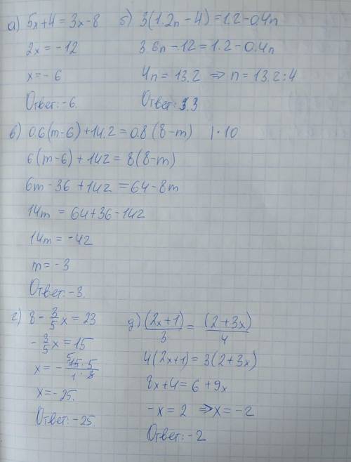
а) 5x + 4 = 3x – 8; б) 3(1,2n – 4) = 1,2 – 0,4n;
в) 0,6( m – 6) + 14,2 = 0,8 (8 – m); г) 8 – 3/5 x = 23;
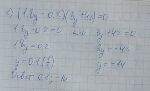
д) (2x+1)/3 = (2+3x)/4; е

👇
Ответ:
Demorage
Demorage
27.01.2021

_______________________

Под буквой е равество на 0.1 не точное. Т.е. запишешь не =0.1, а ≈0.1. Т.к. 0.1≠1/9.


Решить уравнение а) 5x + 4 = 3x – 8; б) 3(1,2n – 4) = 1,2 – 0,4n; в) 0,6( m – 6) + 14,2 = 0,8 (8 –
Решить уравнение а) 5x + 4 = 3x – 8; б) 3(1,2n – 4) = 1,2 – 0,4n; в) 0,6( m – 6) + 14,2 = 0,8 (8 –
4,7(100 оценок)
Открыть все ответы
Ответ:
artur283
artur283
27.01.2021

1200 | 2                                   1404 | 2

600 | 2                                    702 | 2

300 | 2                                     351 | 3

150 | 2                                      117 | 3

75 | 3                                        39 | 3

25 | 5                                        13 | 13

5 | 5                                          1

1                                                1404 = 2² · 3³ · 13

1200 = 2⁴ · 3 · 5²

НОД (1200 и 1404) = 2² · 3 = 12 - наибольший общий делитель

1200 : 12 = 100 - числитель

1404 : 12 = 117 - знаменатель

117 + 1 = 118 - увеличенный на единицу знаменатель

1200/1404 = 100/117 - сократили на 12

100/118 = 50/59 - сократили на 2

ответ: 100/118 = 50/59.

4,7(1 оценок)
Ответ:
Djeka11
Djeka11
27.01.2021

Пошаговое объяснение:

1)

1 пачка = 2х тетрадей

2 пачка = х тетрадей

Всего = 48 тетрадей

2х + х = 48

3х = 48

х = 48 : 3

х = 16

1 пачка = (2х) = 2 * 16 = 32 тетради

2 пачка = (х) = 16 тетрадей

32 + 16 = 48

2)

Утки = х штук

Утята = 3х штук

Всего = 16 штук

х + 3х = 16

4х = 16

х = 16 : 4

х = 4

Утки = (х) = 4 штуки

Утята = (3х) = 3 * 4 = 12 штук

4 + 12 = 16

3)

Куры = х штук

Цыплята = 4х штук

Всего = 20 штук

х + 4х = 20

5х = 20

х = 20 : 5

х = 4

Куры = (х) = 4 штуки

Цыплята = (4х) = 4 * 4 = 16 штук

4 + 16 = 20

4)

1 часть = х м

2 часть = х + 1 м

Всего = 124 м

х + х + 1 = 124

2х + 1 = 124

2х = 124 - 1

2х = 123

х = 123 : 2

х = 61,5

1 кусок = (х) = 61,5 м

2 кусок = (х + 1) = 61,5 + 1 = 62,5 м

61,5 + 62,5 = 124

4,4(59 оценок)
Новые ответы от MOGZ: Математика
logo
Вход Регистрация
Что ты хочешь узнать?
Спроси Mozg
Открыть лучший ответ