М
Молодежь
К
Компьютеры-и-электроника
Д
Дом-и-сад
С
Стиль-и-уход-за-собой
П
Праздники-и-традиции
Т
Транспорт
П
Путешествия
С
Семейная-жизнь
Ф
Философия-и-религия
Б
Без категории
М
Мир-работы
Х
Хобби-и-рукоделие
И
Искусство-и-развлечения
В
Взаимоотношения
З
Здоровье
К
Кулинария-и-гостеприимство
Ф
Финансы-и-бизнес
П
Питомцы-и-животные
О
Образование
О
Образование-и-коммуникации
qwertyuiop330
qwertyuiop330
16.03.2021 08:09 •  Математика

Напишите уравнение касательной к графику функции f(x)=x+1/x-1, m(2; 3)

👇
Ответ:
fara2003onozog7w
fara2003onozog7w
16.03.2021

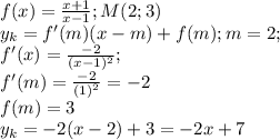
f(x)=\frac{x+1}{x-1} ;M(2;3)\\y_k=f'(m)(x-m)+f(m);m=2;\\f'(x)=\frac{-2}{(x-1)^2};\\f'(m)=\frac{-2}{(1)^2}=-2\\f(m)=3\\y_k=-2(x-2)+3=-2x+7

ответ: y= -2x+7

4,6(65 оценок)
Ответ:
MastaM
MastaM
16.03.2021
Решение:

f(x)= x+1/x-1;m(2;3)

yk=f'(m)(x-m)+f(m);m=2;

f'(x)=-2/(x-1)^2;

f'(m)=-2

f(m)=3

yk=-2(x-2)+3=-2x+7

ответ: -2x+7
4,5(49 оценок)
Открыть все ответы
Ответ:
LoliPeen
LoliPeen
16.03.2021
Дано: 1, 2, 1000 - ряд натуральных чисел от 1 до 1000 2, 4, 6, 1000 - ряд чётных чисел. сумма данного ряда   равна а. 1, 3, 5, 999 - ряд нечётных чисел. сумма данного ряда равна b. найти: b-a решение: а=2+4+6++1000 сумму данного ряда найдём с формулы суммы арифметической прогрессии. а₁=2, а₂=4 => d=a₂-a₁=4-2=2 a(n)=1000 n-? a(n)=a₁+d(n-1) 2+2(n-1)=1000 2(n-1)=998 n-1=499 n=500 s(n)=s(500)=(a₁+a₅₀₀)*500/2=(2+1000)*250=250500 следовательно, а=250500 аналогично, находим b - сумму ряда нечётных чисел: b=1+3+5++999 b₁=1, b₂=3 => d=b₂-b₁=2 b(n)=999 n-? b(n)=b₁+d(n-1) 1+2(n-1)=999 2(n-1)=998 n-1=499 n=500 s(n)=s(₅₀₀)=(b₁+b₅₀₀)*500/2=(1+999)*250=250000 следовательно, b=250000 b-a=250000-250500=-500 ответ: -500
4,5(88 оценок)
Ответ:
123lego123den
123lego123den
16.03.2021

Туралы күзде жиі: суретші-күз айтады. Небәрі үшін күзді: "перекрашивает" пейзажды несколько күн. Бұрын орман жасыл болды, бірақ күз келді және жасылды түстің және түстің көпшілігіне өзгертті. Ағаштың бас-басы тұқымы өзінің түсіне деген қаралады. Біреудің тал-шыбықтары лимонно-желтыми болады, ал біреулер - қызыл сары. Тығыз қара қоңыр-сары түске деген қарала- мынадай болатын, ол жоса аталады. Және түстер қызыл: багровый, таңқурай, темно-красный кездеседі. Қоңыр барлық сарындардың да күздің-суретшінің палитрасында қатысады. Болады және алтын түстес аталатын мынадай түс. Ғана вечнозеленые тал-шыбықтар мынадай қалады, сияқты және болды.

4,7(89 оценок)
Это интересно:
Новые ответы от MOGZ: Математика
logo
Вход Регистрация
Что ты хочешь узнать?
Спроси Mozg
Открыть лучший ответ