М
Молодежь
К
Компьютеры-и-электроника
Д
Дом-и-сад
С
Стиль-и-уход-за-собой
П
Праздники-и-традиции
Т
Транспорт
П
Путешествия
С
Семейная-жизнь
Ф
Философия-и-религия
Б
Без категории
М
Мир-работы
Х
Хобби-и-рукоделие
И
Искусство-и-развлечения
В
Взаимоотношения
З
Здоровье
К
Кулинария-и-гостеприимство
Ф
Финансы-и-бизнес
П
Питомцы-и-животные
О
Образование
О
Образование-и-коммуникации
VKaurovau
VKaurovau
20.07.2021 03:02 •  Математика

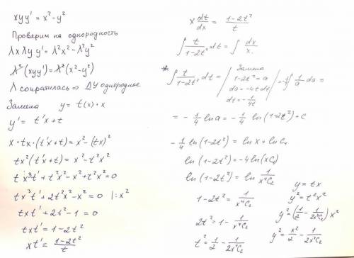
Необходимо решить дифференциальное уравнение:

xyy'=x^{2}-y^{2}


Необходимо решить дифференциальное уравнение: xyy'=-

👇
Ответ:
kmodeste
kmodeste
20.07.2021

См. фото

Пошаговое объяснение:


Необходимо решить дифференциальное уравнение: xyy'=-
4,5(66 оценок)
Открыть все ответы
Ответ:
хорошист547
хорошист547
20.07.2021
Т.к. 4 * М четно, то Н — четная цифра. Тогда Н = 2, ибо иначе произведение слева было бы шестизначным числом. Поэтому Л = 8 или Л = 9, а М = 3 или М = 8. Так как произведение слева дает пятизначное число, то A ≤ 4.
Пусть М = 3. Так как 4 * И + 1 оканчивается на А, то А — нечетное, т.е. А = 1, тогда И = 5, но тогда Л = 8 или Л = 9 не подходят.
Пусть М = 8, а тогда Л = 8, т.к. число 4 * И + 3 оканчивается на А, то А — нечетное число, т.е. А = 1 или А = 3. Если А = 1, то Л не равно 9. Следовательно, А = 3, а И = 5.

ответ: 23958 * 4 = 95832
4,6(37 оценок)
Ответ:
YAKOT1
YAKOT1
20.07.2021
1.Sie hat keine Familie.
2.Ich bin 17 Jahre alt.
3.Unser Kind hat eine sehr gute Oma.
4.Was fuer eine Familie haben Sie?

1.Wann magst du kommen? Когда ты можешь прийти?
2.Du willst Lehrer werden. Ты хочешь стать учителем.
3.Er kann gut Deutsch. Он знает хорошо немецкий

1.Wir erholen uns in einem Sanatorium. Мы отдыхаем в санатории
2.Ich freue mich ueber dein Geschenk. Я радуюсь твоему подарку
3.Er rasiert sich am Morgen. Он бреется утром

1.Du stehst um 7 Uhr auf.
2.Ich entschuldige dich.
3.Er besucht gern seine Eltern.

Проспрягайте следующие глаголы.
1.sich einen Film ansehen - sah an - angesehen.
2.sprechen - sprach - hat gesprochen
4,7(13 оценок)
Это интересно:
Новые ответы от MOGZ: Математика
logo
Вход Регистрация
Что ты хочешь узнать?
Спроси Mozg
Открыть лучший ответ