Пошаговое объяснение:
1)
8х+2х+5х=90
15х= 90
х= 90 : 15
х= 6 - приходится на 1 часть
8*6= 48 - одно число
2*6= 12 - второе число
5*6= 30 - третье число
2)
Обратная пропорция . Чем больше труб, тем меньше времени надо на заполнение бассейна
6 труб - 24 мин
9 труб -х мин
6 :9 = х: 24
9х= 6*24
9х= 144
х= 144 : 9
х= 16 мин
9 трубам потребуется 16 мин., чтоб наполнить бассейн
ответ : 16 мин
3)
Площадь закрашенной фигуры будет разностью ,между площадью круга и площадью квадрата
Найдем площадь круга :
S = πR²
по условию диаметр круга равен 10 см , диаметр также равен двум радиусам, значит
R= 10 : 2 = 5 см
S кр = 3,14* 5²= 25 * 3,14 = 78,5 см²
Найдем площадь квадрата
по условию, периметр квадрата 16 см
Р = 4а - формула периметра , значит
4а= 16
а= 4 см - сторона квадрата
Площадь квадрата будет
S= 4*4= 16 см²
Площадь закрашенной фигуры будет
78, 5 - 16 = 62,5 см²
4)
Масштаб 1 : 30 000 000 показывает , что в 1 см на карте 30 000 000 см на местности , а поскольку 1 км = 100 000 см , то
30 000 000 см = 30 000 000 : 100 000= 300 км на местности
Расстояние в 3 см на карте на местности будет соответствовать
3* 300= 900 км
Пошаговое объяснение:
1)
8х+2х+5х=90
15х= 90
х= 90 : 15
х= 6 - приходится на 1 часть
8*6= 48 - одно число
2*6= 12 - второе число
5*6= 30 - третье число
2)
Обратная пропорция . Чем больше труб, тем меньше времени надо на заполнение бассейна
6 труб - 24 мин
9 труб -х мин
6 :9 = х: 24
9х= 6*24
9х= 144
х= 144 : 9
х= 16 мин
9 трубам потребуется 16 мин., чтоб наполнить бассейн
ответ : 16 мин
3)
Площадь закрашенной фигуры будет разностью ,между площадью круга и площадью квадрата
Найдем площадь круга :
S = πR²
по условию диаметр круга равен 10 см , диаметр также равен двум радиусам, значит
R= 10 : 2 = 5 см
S кр = 3,14* 5²= 25 * 3,14 = 78,5 см²
Найдем площадь квадрата
по условию, периметр квадрата 16 см
Р = 4а - формула периметра , значит
4а= 16
а= 4 см - сторона квадрата
Площадь квадрата будет
S= 4*4= 16 см²
Площадь закрашенной фигуры будет
78, 5 - 16 = 62,5 см²
4)
Масштаб 1 : 30 000 000 показывает , что в 1 см на карте 30 000 000 см на местности , а поскольку 1 км = 100 000 см , то
30 000 000 см = 30 000 000 : 100 000= 300 км на местности
Расстояние в 3 см на карте на местности будет соответствовать
3* 300= 900 км
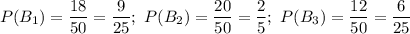
Пусть A — выбрана деталь отличного качества.
Условные вероятности :
По формуле Байеса: