М
Молодежь
К
Компьютеры-и-электроника
Д
Дом-и-сад
С
Стиль-и-уход-за-собой
П
Праздники-и-традиции
Т
Транспорт
П
Путешествия
С
Семейная-жизнь
Ф
Философия-и-религия
Б
Без категории
М
Мир-работы
Х
Хобби-и-рукоделие
И
Искусство-и-развлечения
В
Взаимоотношения
З
Здоровье
К
Кулинария-и-гостеприимство
Ф
Финансы-и-бизнес
П
Питомцы-и-животные
О
Образование
О
Образование-и-коммуникации
Diana2004250
Diana2004250
25.09.2020 18:28 •  Математика

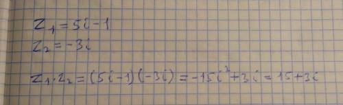
Найти произведение комплексных чисел: Z1=5i-1 и Z2=-3i

👇
Ответ:
Vika10023
Vika10023
25.09.2020

15+3i

Пошаговое объяснение:

На фото решение.


Найти произведение комплексных чисел: Z1=5i-1 и Z2=-3i
4,8(100 оценок)
Открыть все ответы
Ответ:
Polinochka570
Polinochka570
25.09.2020

а) (х+1)²>0 х∈(-∞;-1)∪(-1;+∞), т.к. при х=-1 левая часть обращается в нуль. но нуль не может быть больше нуля. ответ объединение двух промежутков.

б) 4х²-х+9<0 дискриминант левой части равен 1-4*36<0 a=4>0, значит, для любого действительного х левая часть неравенства больше нуля. нулю она тоже не равна. т.к. дискриминант меньше нуля. а это означает. что неравенство не имеет решений.

с) -х²+4х-7=0,  дискриминант 16-28 отрицательный.  значит. парабола не пересекается с осью ох, находится ниже оси. т.к. первый коэффициент равен минус один, ветви направлены вниз, значит, для любого х левая часть меньше, а не больше нуля. т.е. неравенство решений не имеет.

д) (х-3)(х+3)<0 решим методом интервалов. корни левой части ±3

___-33

+           -          +

х∈(-3;3)

4,6(60 оценок)
Ответ:
Ольга25052000
Ольга25052000
25.09.2020

1)Дмитрий Анатольевич Медведев

2)Агинский Бурятский автономный округ | Адыгея | Алтай | Алтайский край | Амурская область | Архангельская область | Астраханская область | Башкортостан | Белгородская область | Брянская область | Бурятия | Владимирская область | Волгоградская область | Вологодская область | Воронежская область | Дагестан | Еврейская автономная область | Ивановская область | Ингушетия | Иркутская область | Кабардино-Балкария | Калининградская область | Калмыкия | Калужская область | Камчатская область | Карачаево-Черкессия | Карелия | Кемеровская область | Кировская область | Коми | Корякский автономный округ | Костромская область | Краснодарский край | Красноярский край | Курганская область | Курская область | Ленинградская область | Липецкая область | Магаданская область | Марий Эл | Москва | Мордовия | Московская область | Мурманская область | Ненецкий автономный округ | Нижегородская область | Новгородская область | Новосибирская область | Омская область | Оренбургская область | Орловская область | Пермский край | Пензенская область | Приморский край | Псковская область | Ростовская область | Рязанская область | Самарская область | Санкт-Петербург | Саратовская область | Сахалинская область | Свердловская область | Северная Осетия | Смоленская область | Ставропольский край | Тамбовская область | Татарстан | Тверская область | Томская область | Тува | Тульская область | Тюменская область | Удмуртия | Ульяновская область | Усть-Ордынский автономный округ | Хабаровский край | Хакасия | Ханты-Мансийский автономный округ | Челябинская область | Чечня | Читинская область | Чувашия | Чукотский автономный округ | Якутия | Ямало-Ненецкий автономный округ | Ярославская область

3)Для охраны правопорядка,а армия для охраны страны.

4,6(10 оценок)
Это интересно:
Новые ответы от MOGZ: Математика
logo
Вход Регистрация
Что ты хочешь узнать?
Спроси Mozg
Открыть лучший ответ