М
Молодежь
К
Компьютеры-и-электроника
Д
Дом-и-сад
С
Стиль-и-уход-за-собой
П
Праздники-и-традиции
Т
Транспорт
П
Путешествия
С
Семейная-жизнь
Ф
Философия-и-религия
Б
Без категории
М
Мир-работы
Х
Хобби-и-рукоделие
И
Искусство-и-развлечения
В
Взаимоотношения
З
Здоровье
К
Кулинария-и-гостеприимство
Ф
Финансы-и-бизнес
П
Питомцы-и-животные
О
Образование
О
Образование-и-коммуникации
милана761
милана761
24.04.2021 11:58 •  Математика

Подскажите как решить следующие уравнения: 1. 3cos^{2} x=2sin2x-sin^{2} x
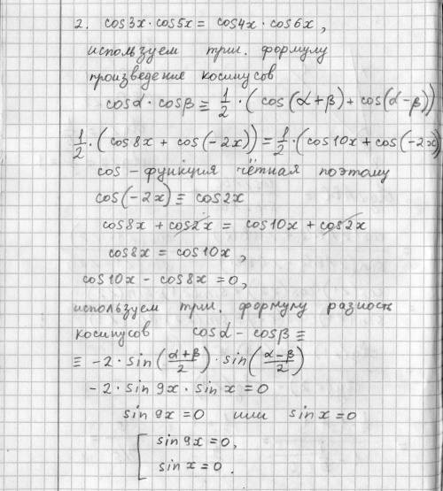
2. cos3xcos5x=cos4xcos6x

👇
Ответ:
karolka10201020
karolka10201020
24.04.2021

я написал решение на двух прикреплённых листках, но не до конца, до конца дорешайте сами ===>>


Подскажите как решить следующие уравнения: 1. 2.
Подскажите как решить следующие уравнения: 1. 2.
4,5(27 оценок)
Открыть все ответы
Ответ:
koshtalev
koshtalev
24.04.2021
Скорость пасс. поезда обозначим x, тогда тов. поезд 5x/8, а скорый x+48.
Расстояние между городами s км пасс. поезд проходит за время s/x,
тов. поезд за 8s/(5x), а скорый за s/(x+48)
Скорый проходит на 3 ч быстрее товарного, и на 1 ч быстрее пасс.
Значит, пасс. поезд проходит на 2 ч быстрее товарного.
Уравнения:
{ 8s/(5x) = s/x + 2 = 5s/(5x) + 2
{ s/(x+48) = s/x - 1
Упрощаем
{ 3s/(5x) = 2; s = 10x/3; s/x = 10/3
{ 10x/(3(x+48)) = 10/3 - 1 = 7/3
Решаем 2 уравнение. Умножаем его на 3(x+48)
10x = 7(x+48) = 7x + 7*48
3x = 7*48
x = 7*16 = 102 км/ч - скорость пасс. поезда
5x/8 = 5*7*16/8 = 70 км/ч - скорость тов. поезда
x + 48 = 102 + 48 = 150 км/ч - скорость скорого поезда.
4,5(68 оценок)
Ответ:
4кл2
4кл2
24.04.2021
                                      |       V  (cкорость)       |  t (время)     |   S  (расстояние)  |      
ІІ||
  Cкорый поезд             |     (8/5у+48)км/час    |   х час          |  Одинаковое         |
  Пассажирский            |      8/5у км/час           |  (х+1) час     |                               |
  Товарный                   |      у км/час                |  (х+3) час     |                                |

V*t=S
Каждый поезд одинаковое расстояние
(8/5у+48)*х=у(х+3)    (путь скорого=пути товарного)
8/5ху+48х=ху+3у
8/5ху-ху=3у-8/5у
3/5ху=7/5у
3/5х=7/5
х=7/5:3/5
х=7/5*5/3
х=7/3
х=2 1/3 (час) - время в пути скорого поезда

(8/5у+48)х=8/5у(х+1)
8/5ху+48х=8/5ху+8/5у
48х=8/5у
х=8/5у:48
х=8/5у*1/48
х=1/30у
1/30у=2 1/3
у= 2 1/3:1/30
у=7/3*30
у=70(км/ч) - скорость товарного поезда
70*8/5=112(км/ч) - скорость пассажирского поезда
4,6(41 оценок)
Это интересно:
Новые ответы от MOGZ: Математика
logo
Вход Регистрация
Что ты хочешь узнать?
Спроси Mozg
Открыть лучший ответ