М
Молодежь
К
Компьютеры-и-электроника
Д
Дом-и-сад
С
Стиль-и-уход-за-собой
П
Праздники-и-традиции
Т
Транспорт
П
Путешествия
С
Семейная-жизнь
Ф
Философия-и-религия
Б
Без категории
М
Мир-работы
Х
Хобби-и-рукоделие
И
Искусство-и-развлечения
В
Взаимоотношения
З
Здоровье
К
Кулинария-и-гостеприимство
Ф
Финансы-и-бизнес
П
Питомцы-и-животные
О
Образование
О
Образование-и-коммуникации
ЮЮПР
ЮЮПР
31.10.2021 08:38 •  Математика

Расстояние между пунктами А и Б 264 км. В первый день баржа преодолела путь. На второй день она возвращалась по тому же маршруту, но на 2км быстрее, так же была остановка на 1 час. С какой скоростью двигалась баржа в 1 день?

👇
Ответ:
Faulmaran
Faulmaran
31.10.2021

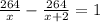
В первый день V₁ = x , t₁ = 264/x

В первый день V₂ = x+2 , t₂ = 264/(x+2)

t₁ = t₂ + 1

\frac{264}{x} = \frac{264}{x+2} +1

\frac{264}{x} - \frac{264}{x+2} =1

\frac{264x+264*2-264}{x^{2}+2x} =1

528 = x² + 2x

x² + 2x - 528 = 0

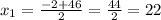
D = 2² - 4 * (528) = 4 + 2112 = 2116 = 46²

x_{1} = \frac{-2+46}{2} = \frac{44}{2} = 22

x_{2} = \frac{-2-46}{2} = -\frac{48}{2} = -24 - не подходит, т.к. скорость не может быть отрицательной

ответ: V = 22 км/ч

4,5(97 оценок)
Ответ:
olenkadergunov
olenkadergunov
31.10.2021

Пошаговое объяснение: (во вложении)


Расстояние между пунктами А и Б 264 км. В первый день баржа преодолела путь. На второй день она возв
4,4(91 оценок)
Открыть все ответы
Ответ:
Violet17
Violet17
31.10.2021
В 1780 г. при Академии наук Мангейма было создано Метеорологическое общество.  Появилась первая сеть метеостанций.  В числе этих станций были: Мангейм, Берлин, Дюссельдорф, Эрфурт, Москва, Петербург, Прага и др.   Мангеймское метеорологическое общество просуществовало недолго. Но таким было начало.  А вот во время Крымской войны в 1854 году случилась катастрофа в Черном море. Был уничтожен бурей анго-французский флот. Осада флотом Севастополя закончилась трагедией.
Это можно было предотвратить, так как циклон и его траектория хорошо прослеживались по синоптическим картам. Это событие XIX века и стало началом создания новой сети метеостанций в Европе. Первая появилась в Англии в 1854 году и возглавил ее адмирал Роберт Фицрой (имя лучше проверить!) Удачи!
4,6(69 оценок)
Ответ:
Викарайс
Викарайс
31.10.2021
Тот, кому не добавили рубль, относительно других сотрудников этот рубль теряет. Не будем доплачивать сотруднику с самой большой зарплатой до тех пор, пока его зарплата не сравняется с той, которая была самой маленькой (если сотрудников с наибольшей зарплатой - несколько, то выберем любого из них). Таким образом, наименьшую зарплату будут иметь, по крайней мере, двое сотрудников. Затем, снова выберем сотрудника с самой большой зарплатой и не будем ему доплачивать, пока его зарплата не сравняется с той, которая была самой маленькой, и получим не менее трех сотрудников с одинаковой зарплатой. Проделав такую операцию не более девяти раз, Ваня сможет уравнять все зарплаты.
http://russiansmo.ru/tochnye-predmety/matematika/u-vani-10-sotrudnikov-u-vsex-raznaya-zarplata-kazhd...
4,6(49 оценок)
Это интересно:
Новые ответы от MOGZ: Математика
logo
Вход Регистрация
Что ты хочешь узнать?
Спроси Mozg
Открыть лучший ответ