
1)
(47-х)·2-15=45
(47-х)·2=45+15
(47-х)·2=60
47-х=60÷2
47-х=30
х=47-30
х=17
(47-17)·2-15=45
2)Записываем данные:
Первое число: х-18
Второе число: х
Третье число: х+4
А сумма равна 94.
Сост.уравнение.
х-18+х+х+4=94
Приводим подобные слагаемые:
3х-14=94
Переносим все неизвестные в одну сторону:
3х=94+14
3х=108
х=108/3
х=36
(Можно сделать проверку:
36-18+36+36+4=94)
Находим 1 число: 36-18=18
2 число: =36
3 число: 36+4=40
3) Пусть х лет - сыну, тогда 5х лет - отцу, х-2 лет - сестре.
Зная, что всего возраст отца, сына и дочери составляет 47 лет, составим уравнение:
х+5х+х-2=47
5х+х+х=47+2
7х=49
х=7
ответ: сыну 7 лет
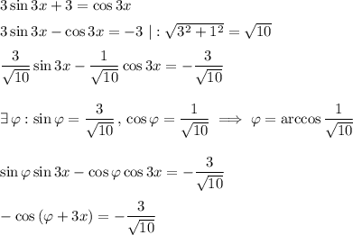
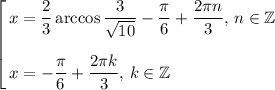
Но честную выборку на
произвести не представляется возможным, поэтому тупым перебором данных ответов находим, что
- наш корень.
На самом деле, на этом промежутке гораздо больше корней, например,
, а также и некрасивые с арккосинусами.
ответ. B)