М
Молодежь
К
Компьютеры-и-электроника
Д
Дом-и-сад
С
Стиль-и-уход-за-собой
П
Праздники-и-традиции
Т
Транспорт
П
Путешествия
С
Семейная-жизнь
Ф
Философия-и-религия
Б
Без категории
М
Мир-работы
Х
Хобби-и-рукоделие
И
Искусство-и-развлечения
В
Взаимоотношения
З
Здоровье
К
Кулинария-и-гостеприимство
Ф
Финансы-и-бизнес
П
Питомцы-и-животные
О
Образование
О
Образование-и-коммуникации
verarusu02
verarusu02
19.11.2020 06:19 •  Математика

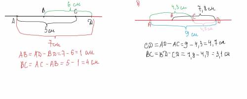
На прямой отметили точки A, B, C и D в указанном порядке. Найдите длину отрезка BC, если известно, что: а) AC =5, BD = 6, AD = 7;
б) AC = 4,3, BD = 7,8, AD = 9

👇
Ответ:
Mildx
Mildx
19.11.2020

ответ а) ВС=4 б)ВС=3,1


На прямой отметили точки A, B, C и D в указанном порядке. Найдите длину отрезка BC, если известно, ч
4,5(36 оценок)
Ответ:
Нютик1823
Нютик1823
19.11.2020

а) ВС=4см           б)ВС=3,1 см

Пошаговое объяснение:

решение внизу


На прямой отметили точки A, B, C и D в указанном порядке. Найдите длину отрезка BC, если известно, ч
4,8(47 оценок)
Открыть все ответы
Ответ:
Barsvtk
Barsvtk
19.11.2020
Белки́ (протеи́ны, полипепти́ды[1]) —высокомолекулярные органические вещества, состоящие из альфа-аминокислот, соединённых в цепочкупептидной связью. В живых организмах аминокислотный состав белков определяется генетическим кодом, при синтезе в большинстве случаев используется 20стандартных аминокислот. Множество их комбинаций создают молекулы белков с большим разнообразием свойств. Кроме того, аминокислотные остатки в составе белка часто модификациям, которые могут возникать и до того, как белок начинает выполнять свою функцию, и во время его «работы» в клетке. Часто в живых организмах несколько молекул разных белков образуют сложные комплексы, например, фотосинтетический комплекс.
4,5(26 оценок)
Ответ:
Артём2006706
Артём2006706
19.11.2020
Однажды Василисе Дмитриевне задали в школе придумать сказочную историю о диком или домашнем животном. И вот что получилось  Василиса продолжает свои литературные изыскания. На сей раз в школьной тетради по окружающему миру (2 класс). Я, прочитав этот текст, как-то очень мрачно грузанулся:    Жил-был мальчик, и была у него семья, а звали его Костик. Один раз мама попросила Костика с младшим братишкой погулять, когда её дома не будет. Ушла мама, а Костик братику и говорит: иди сам погуляй. Братик послушался его и пошел гулять, а Костик на печке и заснул. Пришла мама и спрашивает: а где твой братик? Костик: а он гуляет. Испугалась мама, побежала сына искать, но не нашла. Заснули все, а Костику сон приснился, что он коровой стал. Проснулся, а он поправде коровой стал. Вот так бывает, если за младшими братьями не следишь.    Возможно, с годами вся лирика выветрится, останется только чистый кафка:    Костику сон приснился, что он коровой стал. Проснулся, а поправде он коровой стал.
4,4(20 оценок)
Это интересно:
Новые ответы от MOGZ: Математика
logo
Вход Регистрация
Что ты хочешь узнать?
Спроси Mozg
Открыть лучший ответ