М
Молодежь
К
Компьютеры-и-электроника
Д
Дом-и-сад
С
Стиль-и-уход-за-собой
П
Праздники-и-традиции
Т
Транспорт
П
Путешествия
С
Семейная-жизнь
Ф
Философия-и-религия
Б
Без категории
М
Мир-работы
Х
Хобби-и-рукоделие
И
Искусство-и-развлечения
В
Взаимоотношения
З
Здоровье
К
Кулинария-и-гостеприимство
Ф
Финансы-и-бизнес
П
Питомцы-и-животные
О
Образование
О
Образование-и-коммуникации
настя06032005
настя06032005
23.01.2023 22:36 •  Математика

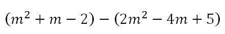
Найти разность многочленов


Найти разность многочленов

👇
Ответ:
zhumanovAblai
zhumanovAblai
23.01.2023

125−m3=(5−m)(25+5m+m2)

ОТВЕТ (5−m)(25+5m+m2)

(m−5)(25+5m+m2)

(5−m)(25−5m+m2)

(5+m)(25+5m−m2)

Пошаговое объяснение:

4,6(70 оценок)
Открыть все ответы
Ответ:
Marshall123
Marshall123
23.01.2023
общее количество яблочного сока - 84 л; общее количество томатного сока - 57 л; количество яблочного сока - на 9 банок больше, чем с томатным; Найти: количество банок с томатным соком - ? количество банок Решение: Вычислим на сколько литров яблочного сока было больше, чем томатного сока: 1) 84-57=27 Вычислим объем одной банки сока: 2) 27:9=3 Вычислим количество банок с яблочным соком: 3) 84:3=28 Вычислим количество банок с томатным соком: 4) 57:3=19 или 28-9=19 ответ: количество банок с яблочным соком составило 28 штук, количество банок с томатным соком - 19 штук.
4,8(68 оценок)
Ответ:
Anne413
Anne413
23.01.2023
общее количество яблочного сока - 84 л; общее количество томатного сока - 57 л; количество яблочного сока - на 9 банок больше, чем с томатным; Найти: количество банок с томатным соком - ? количество банок Решение: Вычислим на сколько литров яблочного сока было больше, чем томатного сока: 1) 84-57=27 Вычислим объем одной банки сока: 2) 27:9=3 Вычислим количество банок с яблочным соком: 3) 84:3=28 Вычислим количество банок с томатным соком: 4) 57:3=19 или 28-9=19 ответ: количество банок с яблочным соком составило 28 штук, количество банок с томатным соком - 19 штук.
4,4(11 оценок)
Это интересно:
Новые ответы от MOGZ: Математика
logo
Вход Регистрация
Что ты хочешь узнать?
Спроси Mozg
Открыть лучший ответ