М
Молодежь
К
Компьютеры-и-электроника
Д
Дом-и-сад
С
Стиль-и-уход-за-собой
П
Праздники-и-традиции
Т
Транспорт
П
Путешествия
С
Семейная-жизнь
Ф
Философия-и-религия
Б
Без категории
М
Мир-работы
Х
Хобби-и-рукоделие
И
Искусство-и-развлечения
В
Взаимоотношения
З
Здоровье
К
Кулинария-и-гостеприимство
Ф
Финансы-и-бизнес
П
Питомцы-и-животные
О
Образование
О
Образование-и-коммуникации
коала22
коала22
30.04.2022 20:51 •  Математика

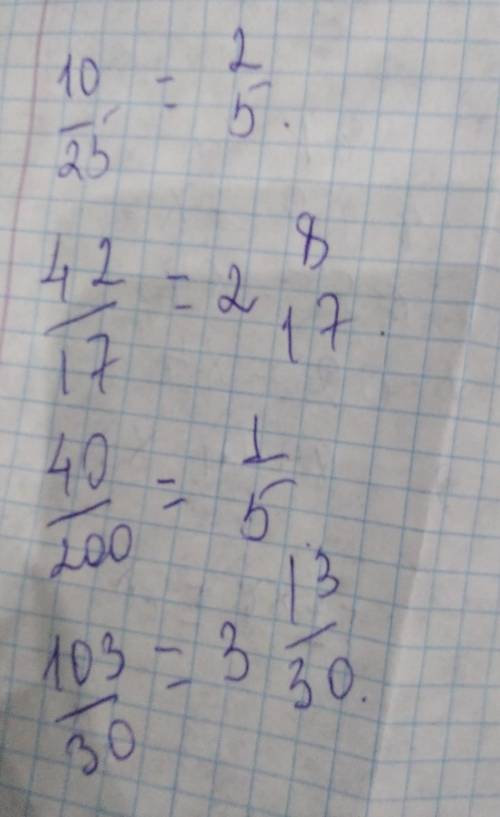
3.Выберите из обыкновенных дробей 10/25; 42/17; 40/200; 103/30 а) правильные обыкновенные дроби;

б) неправильные обыкновенные дроби;

в) сократимые обыкновенные дроби и выполните сокращение;

г) неправильные обыкновенные дроби представьте в виде смешанного числа.

👇
Ответ:
dmikol
dmikol
30.04.2022

Пошаговое объяснение:

сократимые обыкновенные дроби 10/25 равен 2/5 ,,40/200=1/5


3.Выберите из обыкновенных дробей 10/25; 42/17; 40/200; 103/30 а) правильные обыкновенные дроби;б) н
4,5(24 оценок)
Открыть все ответы
Ответ:
1Айжан11
1Айжан11
30.04.2022
S=V*t
Скорость первого поезда V1=60 км/ч. За 3 ч 30 мин (а это 3,5 ч, т.е. t=3,5 ч) этот поезд проедет путь S1=V1*t=60*3,5=210 (км).
Скорость второго поезда на 20 км/ч больше, значит она составляет V2=V1+20=60+20=80 км/ч. За t=3,5 ч этот поезд проедет путь S2=V2*t=80*3,5=280 (км).
Осталось найти расстояние между городами: S=S1+S2=210+280=490 (км).

ответ: 490 км.

По действиям:
1) 60*3,5=210 (км) - путь, который пройдет 1й поезд за 3,5 ч
2) 60+20=80 (км/ч) - скорость 2го поезда
3) 80*3,5=280 (км) - путь, который пройдет 2й поезд за 3,5 ч
4) 210+280=490 (км) - расстояние между городами.

ответ: 490 км.
4,4(89 оценок)
Ответ:
shantropa33
shantropa33
30.04.2022
S=V*t
Скорость первого поезда V1=60 км/ч. За 3 ч 30 мин (а это 3,5 ч, т.е. t=3,5 ч) этот поезд проедет путь S1=V1*t=60*3,5=210 (км).
Скорость второго поезда на 20 км/ч больше, значит она составляет V2=V1+20=60+20=80 км/ч. За t=3,5 ч этот поезд проедет путь S2=V2*t=80*3,5=280 (км).
Осталось найти расстояние между городами: S=S1+S2=210+280=490 (км).

ответ: 490 км.

По действиям:
1) 60*3,5=210 (км) - путь, который пройдет 1й поезд за 3,5 ч
2) 60+20=80 (км/ч) - скорость 2го поезда
3) 80*3,5=280 (км) - путь, который пройдет 2й поезд за 3,5 ч
4) 210+280=490 (км) - расстояние между городами.

ответ: 490 км.
4,8(80 оценок)
Это интересно:
Новые ответы от MOGZ: Математика
logo
Вход Регистрация
Что ты хочешь узнать?
Спроси Mozg
Открыть лучший ответ