М
Молодежь
К
Компьютеры-и-электроника
Д
Дом-и-сад
С
Стиль-и-уход-за-собой
П
Праздники-и-традиции
Т
Транспорт
П
Путешествия
С
Семейная-жизнь
Ф
Философия-и-религия
Б
Без категории
М
Мир-работы
Х
Хобби-и-рукоделие
И
Искусство-и-развлечения
В
Взаимоотношения
З
Здоровье
К
Кулинария-и-гостеприимство
Ф
Финансы-и-бизнес
П
Питомцы-и-животные
О
Образование
О
Образование-и-коммуникации
Evelinahomytova
Evelinahomytova
24.09.2022 11:06 •  Математика

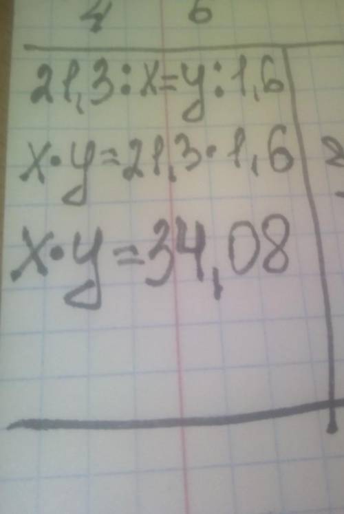
Задана пропорция 21,3 :x=y:1,6 найдите x*y​

👇
Ответ:
kdjdn25
kdjdn25
24.09.2022

решение на фотографии


Задана пропорция 21,3 :x=y:1,6 найдите x*y​
4,4(36 оценок)
Открыть все ответы
Ответ:
olcheymaaaa
olcheymaaaa
24.09.2022

1.Таня готовилась к школьной математической олимпиаде в течении месяца. За это время она решила 135 задач. За первые 10 дней она решила 2/15 числа этих задач. Сколько задач решила Таня за первые 10 дней подготовки к олимпиаде?

135*2/15=9*2=18 (зад.) - решила за 10 дней

2.Сколько стоят два с половиной килограмма орехов, если 1/4 кг орехов стоит 23р.?

1/4 - 23

2 - х

х=2*23:1/4=46*4/1=184 (руб.) - стоят 2 кг орехов

3.-1/2*(-6)=6/2=3

-1/2*(-4)=4/2=2

-1/2*(-2)=2/2=1

-1/2*0=0

-1/2*2=-2/2=-1

-1/2*4=-4/2=-2

-1/2*6=-6/2=-3

 
4,4(76 оценок)
Ответ:
skskanshhd
skskanshhd
24.09.2022
Во время проведения антитеррористической операции в пустыне военные обнаруживают древний саркофаг. Его решают отвезти на базу для проведения детальных исследований. Однако во время транспортировки начинают происходить странные вещи, и самолёт падает. Находившемуся на борту Нику Мортону удаётся выжить. Вскоре он выясняет, что в том саркофаге двумя тысячелетиями ранее была заживо похоронена принцесса Аманет – дочь фараона, убившая своего отца. После того, как её гробница была потревожена, Аманет воскресла, и теперь она обрушит на этот мир всю ярость, что накопилась в ней за долгие годы.
4,7(97 оценок)
Новые ответы от MOGZ: Математика
logo
Вход Регистрация
Что ты хочешь узнать?
Спроси Mozg
Открыть лучший ответ