М
Молодежь
К
Компьютеры-и-электроника
Д
Дом-и-сад
С
Стиль-и-уход-за-собой
П
Праздники-и-традиции
Т
Транспорт
П
Путешествия
С
Семейная-жизнь
Ф
Философия-и-религия
Б
Без категории
М
Мир-работы
Х
Хобби-и-рукоделие
И
Искусство-и-развлечения
В
Взаимоотношения
З
Здоровье
К
Кулинария-и-гостеприимство
Ф
Финансы-и-бизнес
П
Питомцы-и-животные
О
Образование
О
Образование-и-коммуникации
KrASaVa307
KrASaVa307
27.12.2020 18:08 •  Математика

Чему будет = дискриминант?


Чему будет = дискриминант?

👇
Ответ:
Erantpay22
Erantpay22
27.12.2020

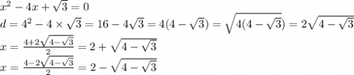
x {}^{2} - 4 x + \sqrt{3 } = 0 \\ d = {4}^{2} - 4 \times \sqrt{3} = 16 - 4 \sqrt{3 } = 4(4 - \sqrt{3} ) = \sqrt{4(4 - \sqrt{3} } ) = 2 \sqrt{4 - \sqrt{3 } } \\ x = \frac{4 + 2 \sqrt{4 - \sqrt{3} } }{2} = 2 + \sqrt{4 - \sqrt{3} } \\ x = \frac{4 - 2 \sqrt{4 - \sqrt{3} } }{2} = 2 - \sqrt{4 - \sqrt{3} }

d-это дискриминантD

4,4(75 оценок)
Открыть все ответы
Ответ:
twitder122
twitder122
27.12.2020
Дано:
v₁ = 12 км/час (скорость половины пути)
v₂ = 6 км/час (ск.первой половины  ост. времени)
v₃ = 4 км/час(ск. второй половины ост. времени)
Найти: vср.
Решение.
vср. = S/t  (всему расстоянию, деленному на все время движения)
S = 2(S/2) (половина пути со одной скоростью 12 км/час и половина со скоростями 6 и 4 км/час)
t = t₁ + 2t₂  (время первой половины пути t₁ и два равных отрезка времени t₂ второй половины пути)
t₁ = (S/2)/v₁ = (S/2)/12 = S/24
      Во второй половине пути:
S/2 = t₂v₂ + t₂v₃ = t₂(v₂ + v₃) = t₂(v₂+v₃) = t₂(6+4) = 10t₂
откуда t₂ = S/20
t = S/24 + 2S/20 = (2S+12S)/120 = 17S/120
vср = S/(17S/120) = 120/17≈ 7 (км/час)
ответ: 7 км/час
Примечание.  можно не вычислять дроби со скоростями, а решать в общем виде, а затем их подставить:
vср. = S/t
t = t₁ + 2t₂
t₁ = S/2v₁  
из S/2 = t₂(v₂+v₃) следует: 
t₂ = S/2(v₂+v₃) 
t = S/2v₁ + S/(v₂+v₃) = S(v₂+v₃+2v₁)/2v₁(v₂+v₃) 
vср.=  2v₁(v₂+v₃)/(2v₁+v₂+v₃) = 2*12(6+4)/(2*12+6+4) = 120/17 ≈ 7 км/час
4,5(53 оценок)
Ответ:
лабтвб
лабтвб
27.12.2020
Как рассказывал мне мой отец, все мы - это природа. Люди, деревья и звери, растения, насекомые. Все вместе мы соединены и живем в постоянном общении. Мои родители любят устраивать пешие прогулки на природу. Конечно же они часто берут меня с собой. Я никогда не отказывался, потому что люблю изучать новые места, смотреть, как мои папа и мама смотрят друг на друга любящими взглядами, как осенняя природа изменяется, готовясь к скорым холодам. Я люблю это время года, я могу долго гулять на улице, могу даже забыть, что на следующий день нужно подготовить уроки, сложить портфель и вовремя покушать. Мама сердится на меня за это, но я не виноват, что мне так нравится гулять осенними дворами
4,7(86 оценок)
Это интересно:
Новые ответы от MOGZ: Математика
logo
Вход Регистрация
Что ты хочешь узнать?
Спроси Mozg
Открыть лучший ответ