М
Молодежь
К
Компьютеры-и-электроника
Д
Дом-и-сад
С
Стиль-и-уход-за-собой
П
Праздники-и-традиции
Т
Транспорт
П
Путешествия
С
Семейная-жизнь
Ф
Философия-и-религия
Б
Без категории
М
Мир-работы
Х
Хобби-и-рукоделие
И
Искусство-и-развлечения
В
Взаимоотношения
З
Здоровье
К
Кулинария-и-гостеприимство
Ф
Финансы-и-бизнес
П
Питомцы-и-животные
О
Образование
О
Образование-и-коммуникации
smirnovakrestin
smirnovakrestin
16.01.2022 11:31 •  Математика

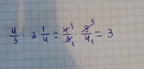
Выполните действия 4/3×2 1/4​

👇
Ответ:
Karinakotik200165
Karinakotik200165
16.01.2022

ответ 3

Пошаговое объяснение:

все верно, решала сама


Выполните действия 4/3×2 1/4​
4,8(33 оценок)
Открыть все ответы
Ответ:
Milintin25
Milintin25
16.01.2022

1.1)3целых 5/7; 2)8цел. 43/44; 2.1) 3 цел 1/3; 2)1цел.3/8; 3. 7 цел. 7/12 га.

Пошаговое объяснение:

1.

1) 1 4/7+2 3/21=

сделаем неправ. дроби

=11/7+45/21=

привед. к общ. знам. 1 дробь умнож на 3

=(11/7*3)+45/21=33/21+45/21=78/21=3 15/21=

сократим дробь на 3

=3 5/7(3 целых 5/7)

2) 5 1/4 + 3 8/11=21/4+41/11=(21/4*11)+(41/11*4)=231/44+164/44=395/44=8 43/44

2.  

1)4-2/3=

запишем 4 как неправильн. дробь 12/3

=12/3-2/3=10/3=3 1/3

2)5 1/4-3 7/8=21/4-31/8=(21/4*4)-(31/8*2)=84/16-62/16=22/16=1 6/16=1 3/8

3.

1) 4 2/3+3/4=14/3+3/4=(14/3*4)+(3/4*3)=42/12+9/12=51/12=4 3/12=4 1/4(га) - на второй день

2) 4 1/4+ 4 2/3= (17/4*3)+(10/3*4)=51/12+40/12=91/12=7 7/12(га)

4,5(60 оценок)
Ответ:
DmitryKind98
DmitryKind98
16.01.2022

1.1)3целых 5/7; 2)8цел. 43/44; 2.1) 3 цел 1/3; 2)1цел.3/8; 3. 7 цел. 7/12 га.

Пошаговое объяснение:

1.

1) 1 4/7+2 3/21=

сделаем неправ. дроби

=11/7+45/21=

привед. к общ. знам. 1 дробь умнож на 3

=(11/7*3)+45/21=33/21+45/21=78/21=3 15/21=

сократим дробь на 3

=3 5/7(3 целых 5/7)

2) 5 1/4 + 3 8/11=21/4+41/11=(21/4*11)+(41/11*4)=231/44+164/44=395/44=8 43/44

2.  

1)4-2/3=

запишем 4 как неправильн. дробь 12/3

=12/3-2/3=10/3=3 1/3

2)5 1/4-3 7/8=21/4-31/8=(21/4*4)-(31/8*2)=84/16-62/16=22/16=1 6/16=1 3/8

3.

1) 4 2/3+3/4=14/3+3/4=(14/3*4)+(3/4*3)=42/12+9/12=51/12=4 3/12=4 1/4(га) - на второй день

2) 4 1/4+ 4 2/3= (17/4*3)+(10/3*4)=51/12+40/12=91/12=7 7/12(га)

4,7(93 оценок)
Это интересно:
Новые ответы от MOGZ: Математика
logo
Вход Регистрация
Что ты хочешь узнать?
Спроси Mozg
Открыть лучший ответ