
Пошаговое объяснение:
Число ділиться на 3 тоді , коли сума його цифр ділиться на 3.
З таблиці множення ,на 3 діляться 9; 12; 15; 18; 21; 24; 27,
А цифри можуть бути від 0 до 9
1) 35*12
знайдемо суму відомих цифр
3+5+1+2= 11
Знайдемо наші цифри :
12-11= 1
15-11=4
18-11=7
Числа будуть: 35112 ; 35412; 35712
2) 72*331
Сума відомих цифр:
7+2+3+3+1= 16
знайдемо наші цифри :
18-16=2
21- 16=5
24-16=8
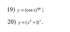
Числа будуть : 722331; 725331; 728331
3) 4*07
Сума відомих цифр
4+0+7= 11
знайдемо наші цифри :
12-11 =1
15-11 = 4
18-11 =7
Числа будуть : 4107; 4407 ; 4707
Длина окружности
Формула длины окружности радиуса r или диаметра d = 2r имеет вид:
или
где \pi \approx 3,14 – число «пи».
Примеры решения задач
ПРИМЕР 1
Задание Найти длину окружности диаметра 1,5 см.
Решение Для нахождения длины заданной окружности воспользуемся формулой l = \pi d. Подставляя в неё значение d = 1,5 см, получим
l = 1,5 \cdot \pi = 1,5 \pi (см)
Учитывая, что \pi \approx 3,14 окончательно имеем:
l = 1,5 \pi \approx 1,5 \cdot 3,14 = 4,71 (см)
ответ Длина окружности равна l = 1,5 \pi см или l \approx 4,71 см.
Контрольные работы на заказ
Решаем контрольные по всем предметам. 10 лет опыт! Цена от 100 руб, срок от 1 дня!
Онлайн заказЦены и сроки
Нужно решить задачи?
Решаем задачи любой сложности от 1 дня! Недорого и точно в срок. Заказывай!
Наши услугиБыстрый заказ
ПРИМЕР 2
Задание Найти длину окружности, вписанную в правильный треугольник со стороною 4 \sqrt{3} см.
Решение Сделаем рисунок (рис. 2).
По условию a = 4 \sqrt{3} см. Сторона правильного треугольника связана с радиусом вписанной в него окружности следующим соотношением:
\[ r=\frac{a}{2 \sqrt{3}} \]
Подставляя в последнее равенство заданное значение стороны правильного треугольника a = 4 \sqrt{3} см, найдем радиус вписанной окружности:
(см)
Длину окружности найдем по формуле:
\[ l=2 \pi r \]
Подставляя в неё найденное значение радиуса, будем иметь:
l = 2 \cdot 2 \cdot \pi = 4 \pi (см)
Если так же подставить \pi \approx 3,14, окончательно получим:
l = 4 \pi \approx 4 \cdot 3,14 = 12,56 (см)
ответ l = 4 \pi см или l \approx 12,56 см.
Пошаговое объяснение:
Пошаговое объяснение: