М
Молодежь
К
Компьютеры-и-электроника
Д
Дом-и-сад
С
Стиль-и-уход-за-собой
П
Праздники-и-традиции
Т
Транспорт
П
Путешествия
С
Семейная-жизнь
Ф
Философия-и-религия
Б
Без категории
М
Мир-работы
Х
Хобби-и-рукоделие
И
Искусство-и-развлечения
В
Взаимоотношения
З
Здоровье
К
Кулинария-и-гостеприимство
Ф
Финансы-и-бизнес
П
Питомцы-и-животные
О
Образование
О
Образование-и-коммуникации
ПРОКОФИЙ2005
ПРОКОФИЙ2005
28.02.2022 20:56 •  Математика

Решить пример 1,5/7 : 1,1/7​

👇
Ответ:
KODYASHOW
KODYASHOW
28.02.2022

Решение и ответ:

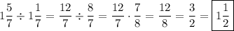
\displaystyle1\frac{5}{7}\div1\frac{1}{7}=\frac{{12}}{7}\div\frac{8}{7}=\frac{{12}}{7}\cdot\frac{7}{8}=\frac{{12}}{8}=\frac{3}{2}=\boxed{1\frac{1}{2}}

4,8(17 оценок)
Открыть все ответы
Ответ:
MrFoxTv
MrFoxTv
28.02.2022
Пусть скорость велосипедиста х
Тогда в первом случае он должен был проехать до поезда за время 48/х
Во втором случае он задержался на 48минут это 48/60=0.8 часа
И поехал со скорость х+3
И проедет до поезда за время 48/(х+3)
Первый и второй случае он успевает на поезд поэтому его время равны
48/х=48/(х+3)+0.8
48/х-48/(х+3)=0.8
(48(х+3)-48х)/х(х+3)=0.8
48х+144-48х=0.8х(х+3)
144=0.8х2+2.4х
0.8х2+2.4х-144=0 |:0.8
Х2+3х-180=0
Д=9+720=729
Корень из(Д)=корень из (729)=27
Х1=(-3-27)/2=-15 не подходит скорость больше нуля
Х2=(-3+27)/2=12км/ч
ответ 12км/ч
4,5(98 оценок)
Ответ:
cska2003
cska2003
28.02.2022
Предположим, что A это сумма B последовательных натуральных чисел от C до C+B-1, а D это сумма B+1 последовательных натуральных чисел от E до E+B.
По формуле суммы последовательных натуральных чисел от 1 до N:
N(N+1)/2. Если последовательность начинается не с 1, тогда сумма будет равна:
N(N+1)/2 - T(T-1)/2, где T - первое число в такой последовательности.
Найдем суммы наших последовательностей используя эти формулы:
A = (C+B-1)(C+B)/2 - C(C-1)/2
D = (E+B)(E+B+1)/2 - E(E-1)/2
A = (CC+BC+BC+BB-C-B)/2 - (CC-C)/2
D = (EE+BE+E+BE+BB+B)/2 - (EE-E)/2
CC+2BC+BB-B-C-CC+C=2BC+BB-B
EE+2BE+BB+B+E-EE+E=2BE+BB+B+2E
2BC+BB-B=2BE+BB+B+2E
2BC=2BE+2B+2E
BC=BE+B+E
Предположим, что C=E, тогда
BC=BC+B+C
0=B+C
B=-C
Поскольку B и C - натуральные числа, данное уравнение не имеет решений. Отсюда следует, что суммы двух последовательностей натуральных чисел с количеством элементов, отличающимся на 1, не могут быть равны.
4,6(98 оценок)
Это интересно:
Новые ответы от MOGZ: Математика
logo
Вход Регистрация
Что ты хочешь узнать?
Спроси Mozg
Открыть лучший ответ