М
Молодежь
К
Компьютеры-и-электроника
Д
Дом-и-сад
С
Стиль-и-уход-за-собой
П
Праздники-и-традиции
Т
Транспорт
П
Путешествия
С
Семейная-жизнь
Ф
Философия-и-религия
Б
Без категории
М
Мир-работы
Х
Хобби-и-рукоделие
И
Искусство-и-развлечения
В
Взаимоотношения
З
Здоровье
К
Кулинария-и-гостеприимство
Ф
Финансы-и-бизнес
П
Питомцы-и-животные
О
Образование
О
Образование-и-коммуникации
azimovaaa
azimovaaa
31.03.2023 13:26 •  Математика

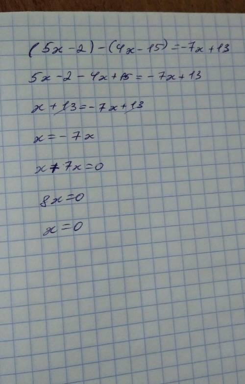
Розв'яжіть рівняння
а) (5х – 2) - (4х – 15) = -7х + 13​

👇
Ответ:
2006anna1
2006anna1
31.03.2023

...................


Розв'яжіть рівнянняа) (5х – 2) - (4х – 15) = -7х + 13​
4,8(63 оценок)
Открыть все ответы
Ответ:
Vladislav1108
Vladislav1108
31.03.2023
Пусть в - количество упаковок Витрума.
Пусть с - количество упаковок Центрума.

Получаем систему уравнений:
в+с = 125
260в + 250с = 31750

Из первого уравнения получаем:
в = 125-с

Подставим это значение во второе уравнение:
260(125-с) + 250с = 31750

32500-260с+250с = 31750
-10с = 32500-31750
-10с = -750
10с = 750
с = 750:10
с = 75 упаковок Центрума.
в = 125-с =125-75=50 упаковок Витрума.
ответ: 75 упаковок Центрума, 50 упаковок Витрума.
Пооверка:
1) 260•50 = 13000 рублей стоили 50 упаковок Витрума.
2) 250•75 = 18750 рублей стоили 75 упаковок Центрума.
3) 13000+18750 = 31750 рублей стоили все упаковки Витрума и Центрума вместе.
4,5(32 оценок)
Ответ:

1) ×8,43                       2)54,29×1000= 54290

      5,7

+   5901

   4215

 48,051

3)37,8:100=0,378       4) 8⊥ 32  = 0,25

                                       0_

                                        80

                                        64_

                                        160

                                        160

                                             0

5)3,22:2,8=   32,2⊥28  =1,15

                    28  

                      42

                       28  

                       140

                      140

                           0

6) 15:0,75=    1500:75=20

4,5(44 оценок)
Это интересно:
Новые ответы от MOGZ: Математика
logo
Вход Регистрация
Что ты хочешь узнать?
Спроси Mozg
Открыть лучший ответ