М
Молодежь
К
Компьютеры-и-электроника
Д
Дом-и-сад
С
Стиль-и-уход-за-собой
П
Праздники-и-традиции
Т
Транспорт
П
Путешествия
С
Семейная-жизнь
Ф
Философия-и-религия
Б
Без категории
М
Мир-работы
Х
Хобби-и-рукоделие
И
Искусство-и-развлечения
В
Взаимоотношения
З
Здоровье
К
Кулинария-и-гостеприимство
Ф
Финансы-и-бизнес
П
Питомцы-и-животные
О
Образование
О
Образование-и-коммуникации
taylakova090820
taylakova090820
04.02.2021 12:30 •  Математика

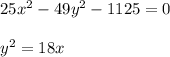
Cоставить уравнение директрисы и найти координаты фокуса параболы 25x^{2} -49y^{2} - 1125=0\\\\y^{2} =18x

👇
Открыть все ответы
Ответ:
катя5091
катя5091
04.02.2021

Рассуждения:формула пути S-путь,v-скорость,t-время, S=tv.Оса догонит шмеля когда он будет находитса в пути 50t,значит оса будет находитса в пути 150(t-5).

Составим равенство;                                             50t=150(t-5) равенство показывает 

сколько времени будет лететь шмель когда          50t=150t-750

растояние сравняетса.                                           50t-150t=-750

                                                                             -100t=-750

                                                                              -t=-750:100

                                                                               -t=-7.5

                                                                                t=7.5

Шмель будет лететь 7.5 минут значит растояние будет = S=tv, S=50*7.5 S=375метров.

ответ:Оса догонит шмеля на расстоянии 375 метров от поля.

4,7(8 оценок)
Ответ:
danilatnt
danilatnt
04.02.2021
Пусть х - количество детей
Тогда 3х -1 - количество конфет, поскольку при раздаче по 3 конфеты одной не хватает.
2х+3 - также количество конфет, поскольку при раздаче по 2 конфеты остается 3 лишних.

3х-1 = 2х+3
3х-2х = 3+1
х = 4 - количество детей.
3х-1 = 3•4-1 = 12-1=11 конфет

ответ: 11 конфет.

Проверка:
1) 4•3 = 12 конфет требуется для 4 детей при раздаче по 3 конфеты.
2) 12-11=1 конфета - именно столько не хватило.
3) 4•2=8 конфет требуется для 4 детей при раздаче по 2 конфеты.
4) 11-7=3 конфеты - именно столько конфет остается лишними.
4,5(82 оценок)
Это интересно:
Новые ответы от MOGZ: Математика
logo
Вход Регистрация
Что ты хочешь узнать?
Спроси Mozg
Открыть лучший ответ