Попытаюсь объяснить. Сначала разместим результаты в порядке возрастания. Меньше всего наклеек у Ники, обозначил их как X, у Лики - 3Х, а у Вики - 2*3Х=6Х. Всего наклеек Х+3Х+6Х=10Х. Теперь каждое значение разделим на 10Х, то есть найдём долю наклеек каждой девочки: Ника - 1/10; Лика - 3/10; Вика - 6/10. Теперь получившиеся значения умножаем на 360. Это нужно для того, чтобы узнать величину угла каждого из сегментов. Получим: Ника - 36°, Лика - 108°, Вика - 216°. Далее рисуем окружность циркулем или по шаблону, проводим отрезок из центра до любой точки окружности, от этого отрезка откладываем с транспортира найденные углы, сначала один, потом от него другой и от второго третий. Получившиеся сегменты можно закрасить разными цветами. Получили круговую диаграмму.
Если наша площадь равна 36 см^2, а длина 9см, то ширина равна 4 см. Далее можно действовать двумя путями: 1) на обеих длинах отмерьте 3 см и поставьте точки, соедините. На обеих ширинах отмерьте 2 см, поставьте точки, соедините. Из получившихся 4 прямоугольников закрасьте 1 на выбор. 2) Проведите диагонали, то есть соедините противолежащие точки(те, что не лежат на одной стороне треугольника, например, длина - АВ, ширина - ВC. АС - будет диагональю). Всего должно быть две диагонали. Один из получившихся треугольников закрасьте.
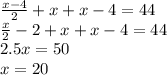
P = 44 см
1 ст. = х
2 ст. = x - 4
3 ст. = x-4/2

ответ:1 ст = 20 см
1 ст = 20 см2 ст = 16 см
1 ст = 20 см2 ст = 16 см3 ст = 8 см