Вход
Регистрация
Спроси Mozg AI
М
Молодежь
К
Компьютеры-и-электроника
Д
Дом-и-сад
С
Стиль-и-уход-за-собой
П
Праздники-и-традиции
Т
Транспорт
П
Путешествия
С
Семейная-жизнь
Ф
Философия-и-религия
Б
Без категории
М
Мир-работы
Х
Хобби-и-рукоделие
И
Искусство-и-развлечения
В
Взаимоотношения
З
Здоровье
К
Кулинария-и-гостеприимство
Ф
Финансы-и-бизнес
П
Питомцы-и-животные
О
Образование
О
Образование-и-коммуникации
.....больше.....
..меньше..
триggg
27.02.2021 04:57 •
Математика
(-2,5-1 5/6):1 4/9
с решением))
👇
Увидеть ответ
Ответ:
SuperMaksni4ic
27.02.2021
Будет - 3
Пошаговое объяснение:
Прости если будет не правильно
4,7
(60 оценок)
Ответ:
karapetyanhovn1
27.02.2021
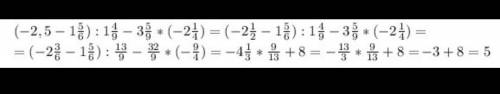
решение во вложении
ответ: 5
4,4
(56 оценок)
Открыть все ответы
Ответ:
ledilove77
27.02.2021
Один из признаков делимости на 4 :
число делится на 4 тогда, когда удвоенное число десятков, сложенное с числом единиц делится на 4.
21 век начинается 1 января 2001 года.
2002 г = 2 * 0 + 2 = 2 - не делится
2003 г = 2 * 0 + 3 = 3 - не делится
2004 г = 2 * 0 + 4 = 4 - делится, значит, 2004 год - високосный.
2005 г = 2 * 0 + 5 = 5 - не делится
2006 г = 2 * 0 + 6 = 6 -
2007 г = 2 * 0 + 7 = 7 -
2008 г = 2 ) 8 + 8 = 8 - делится, 2008 г - високосный
Далее, также определяем 2012 и 2016 гг - високосные.
ответ : 2004 г, 2008 г, 2012 г, 2016 г.
4,4
(2 оценок)
Ответ:
ambasaddor
27.02.2021
Один из признаков делимости на 4 :
число делится на 4 тогда, когда удвоенное число десятков, сложенное с числом единиц делится на 4.
21 век начинается 1 января 2001 года.
2002 г = 2 * 0 + 2 = 2 - не делится
2003 г = 2 * 0 + 3 = 3 - не делится
2004 г = 2 * 0 + 4 = 4 - делится, значит, 2004 год - високосный.
2005 г = 2 * 0 + 5 = 5 - не делится
2006 г = 2 * 0 + 6 = 6 -
2007 г = 2 * 0 + 7 = 7 -
2008 г = 2 ) 8 + 8 = 8 - делится, 2008 г - високосный
Далее, также определяем 2012 и 2016 гг - високосные.
ответ : 2004 г, 2008 г, 2012 г, 2016 г.
4,7
(25 оценок)
Это интересно:
Д
Дом-и-сад
17.04.2023
Как правильно покрасить древесину: советы от профессионалов...
О
Образование-и-коммуникации
23.07.2020
Как определить медиану множества: ключевые понятия и методы расчёта...
О
Образование-и-коммуникации
18.04.2023
Как заставить коллегу перестать указывать вам, как делать вашу работу: советы по установлению границ, коммуникации и уверенности в себе...
З
Здоровье
05.05.2023
Как правильно лечить разрыв кисты яичника?...
С
Семейная-жизнь
09.02.2020
Все, что вам нужно знать о последних неделях беременности...
О
Образование-и-коммуникации
01.09.2020
Как нарисовать банан: подробная инструкция для начинающих...
С
Стиль-и-уход-за-собой
07.05.2020
Правильный выбор парика: все, что вам нужно знать...
К
Компьютеры-и-электроника
04.07.2022
Как удалить историю поиска в iPod Touch: шаги по настройке конфиденциальности...
З
Здоровье
10.07.2021
Голубые глаза: миф или реальность?...
О
Образование-и-коммуникации
21.09.2020
Как убедить человека рассказать свой секрет? Открываем профессиональные секреты психологии...
Новые ответы от MOGZ: Математика
Alinkass93
13.04.2021
Ёжик колючка отдал зайцу феде 1 яблоко из 3. сколько яблок осталось у ёжика федьки?...
Anel7575
13.04.2021
20см=? см^3, іть я 10000000000...
alenakoryakovaa
13.04.2021
Реши во время путешествия дима проехал 400,25 на поезде и на 20 км меньше на автобусе а ирина 300 км на поезде и на 50,5 км больше на автобусе...
Лизавеликая1111
13.04.2021
Вбочонках 12 кг меда в одном на 2 кг больше чем в другом сколько килограммов меда в каждом бочонке...
Ира1656
13.04.2021
Знайдіть значення виразу (-0,2402,1*(-0,4)): (-1,2)+0,3....
erkinsultanov
13.04.2021
Длина стороны квадрат 7 см найти площадь прямоугольника, длина одной из сторон которого равна длине стороны этого квадраьа, а другая сторона на 20 мм длинее первой...
Просто01111111
13.04.2021
Выражение: (1+sinx)(1-sinx) и найдите его значение при х равно п/6...
cfgcgj
13.04.2021
Стёпа и артур собирают прямую железную дорогу 3 м. у них есть короткие и длинные детали длиной 20 см и 30 см . при сборке использовали 6 коротких деталей. сколько...
poroshind
13.04.2021
Реши .тимур раскрасил по 3 картинки на 4 страницах книжки раскраски..после этого ему осталось расскрасить 9 картинок.сколько всего картинок в раскраске...
aluaaskarova100
13.04.2021
Найди приближённое частное, округлив ответ до десятых 1) 2,8 ÷ 1,7 2) 4,9 : 3,52 3) 1,7 : 0,82...
MOGZ ответил
Яка особливість поширення инфекції в Україні?...
На каких условиях принимался Украинско-Московский договор?!...
1). They ... to have returned. a) say b) said c) have said d)...
На экскурсию по городу в автобус сели 8 взрослых и 24 ребенка....
Найбільша річка материка має назву а)Хуанхе б)янциз в)Волга...
У выражение. Найди значение при а...
Запишите в виде частного дробь:; 2) 3/10...
Https://www.hercampus.com/author/get-free-tiktok-followersfans-and-likes-generator-2020-no-human-verification-no-survey-2020...
Визначити об єм вуглекислого газу який утворився при взаємодії...
Здравствуйте с первым и 2 заданием...
Полный доступ к MOGZ
Живи умнее Безлимитный доступ к MOGZ
Оформи подписку
О НАС
О нас
Блог
Условия пользования
Авторское право
Политика конфиденциальности
Предпочтения cookie-файлов
ПОМОЩЬ
Зарегистрируйся
Центр помощи
Центр безопасности
App
Вход
Регистрация
Что ты хочешь узнать?
Спроси Mozg
Открыть лучший ответ
Будет - 3
Пошаговое объяснение:
Прости если будет не правильно