
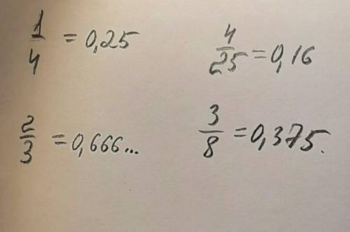
2/3....................
Пошаговое объяснение:
на бумаге
2543679876*36746797907
4+4+4+4+4+4+3.2+
342
423946646*36746797907
27.2+
57
136 423946646*36746797907
+
5 57
7752+5*423946646*36746797907 17 =2.7331*10285
175 метров за одну секунду
Пошаговое объяснение:
В общем, для начала нам нужно перевести 630 км/ч в м/с. Для того, чтобы выполнить данное действие, нам лишь стоит умножить данное число на 1000 (столько метров в одном километре, собственно) и разделить на 3600(столько секунд в одном часе, собственно), или также можно умножать число на коэффициент 3,6 :
630 км/ч * 1000 : 3600 = 175 м/с
А единицы измерения скорости сами за себя и говорят, то есть скорость 175 м/с значит, что самолет проходит 175 м за одну секунду.
2/3
точно
Пошаговое объяснение: