
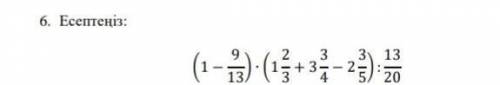
1) 1 целая-9/13=13/13-9/13=4/13
2) 1 целая 2/3+3 целых 3/4=5/3⁴+15/4³=20+45/12=65/12= 5 целых 5/12
3) 5 целых 5/12-2 целых 3/5=65/12⁵-13/5¹²=325-156/60=169/60= 2 целых 49/60
4) 4/13× 2 целых 49/60= 4/13×169/60=4×169/13×60=13/15
5) 13/15÷13/20=13×20/15×13=4/3=1 целая 1/3.
ответ: 1 целая 1/3.
240
–-·––
2197
Пошаговое объяснение:
Вот точно правильно