М
Молодежь
К
Компьютеры-и-электроника
Д
Дом-и-сад
С
Стиль-и-уход-за-собой
П
Праздники-и-традиции
Т
Транспорт
П
Путешествия
С
Семейная-жизнь
Ф
Философия-и-религия
Б
Без категории
М
Мир-работы
Х
Хобби-и-рукоделие
И
Искусство-и-развлечения
В
Взаимоотношения
З
Здоровье
К
Кулинария-и-гостеприимство
Ф
Финансы-и-бизнес
П
Питомцы-и-животные
О
Образование
О
Образование-и-коммуникации
gritana
gritana
28.09.2021 03:36 •  Математика

Методом підстановки розв'язати систему рівнянь х²-у=1; х-у=-5

👇
Ответ:
maximunicorn1
maximunicorn1
28.09.2021

(3;8); (-2;3)

Пошаговое объяснение:

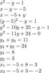
x^{2} -y=1 \\x-y=-5\\x=-5+y\\(y-5)^{2} -y=1\\y^{2} -10y+25-y=1\\y^{2}-11y+24=0\\y_{1}+y_{2}= 11\\y_{1}*y_{2}=24\\y_{1}=8\\y_{2}=3\\x_{1 } = -5+8=3\\x_{2 }=-5+3=-2\\

4,7(51 оценок)
Ответ:
lululu4
lululu4
28.09.2021

x1=-2 x2=3

Пошаговое объяснение:

y=x-(-5) или x+5

x^2-(x+5)=1 <<x^2-x-5=1<<<x^2-x-5-1=0<<<x^2+2x-3x-6=0<<<x(x+2)-3(x+2)<<<x+2=0 и внизу вместе с большой фигурной скобкой x-3=0<<<x1=-2; x2=3

y2=x+5<<<3+5=8   y1=-2^2=4<y=4-1<y=3

4,7(43 оценок)
Открыть все ответы
Ответ:
jekander
jekander
28.09.2021
Для начала можем отнять от всего количества людей 17 людей, у которых светлые волосы.
1)26-17=9(человек) - с темными волосами
Чтобы найти наименьшее число девочек со светлыми волосами предположим, что все, кто с темными волосами девочки. Теперь найдем разницу между всем количеством девочек и количеством девочек с темными волосами.
2)11-9=2(человека)- минимальное число девочек со светлыми волосами.
Ну а максимальное число - 11, т.к. число людей со светлыми волосами больше, чем количество девочек.

ответ: минимальное число девочек со светлыми волосами - 2 человека.
4,7(98 оценок)
Ответ:
томка112
томка112
28.09.2021
Для начала можем отнять от всего количества людей 17 людей, у которых светлые волосы.
1)26-17=9(человек) - с темными волосами
Чтобы найти наименьшее число девочек со светлыми волосами предположим, что все, кто с темными волосами девочки. Теперь найдем разницу между всем количеством девочек и количеством девочек с темными волосами.
2)11-9=2(человека)- минимальное число девочек со светлыми волосами.
Ну а максимальное число - 11, т.к. число людей со светлыми волосами больше, чем количество девочек.

ответ: минимальное число девочек со светлыми волосами - 2 человека.
4,6(10 оценок)
Новые ответы от MOGZ: Математика
logo
Вход Регистрация
Что ты хочешь узнать?
Спроси Mozg
Открыть лучший ответ