М
Молодежь
К
Компьютеры-и-электроника
Д
Дом-и-сад
С
Стиль-и-уход-за-собой
П
Праздники-и-традиции
Т
Транспорт
П
Путешествия
С
Семейная-жизнь
Ф
Философия-и-религия
Б
Без категории
М
Мир-работы
Х
Хобби-и-рукоделие
И
Искусство-и-развлечения
В
Взаимоотношения
З
Здоровье
К
Кулинария-и-гостеприимство
Ф
Финансы-и-бизнес
П
Питомцы-и-животные
О
Образование
О
Образование-и-коммуникации
TaNyAmAkSiMeNkO
TaNyAmAkSiMeNkO
11.11.2020 14:39 •  Математика

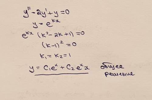
Найти решение уравнения у"-2y'+y=0, удовлетворяющее начальным условиям

👇
Ответ:
Фиджиии
Фиджиии
11.11.2020

решение на фотографии.


Найти решение уравнения у-2y'+y=0, удовлетворяющее начальным условиям
4,8(85 оценок)
Открыть все ответы
Ответ:
                               Скорость                    Время            Расстояние
     
 По длине           Одинаковая                    30час                ?км
                                                                                                        ) на 200км
 По ширине                                                 20час                ?км        больше

30-20=10(час) - время поездки по длине водоранилища на 10час. больше
200:10=20(км/ч) - скорость катера
20*20=400(км) - ширина
20*30=600(км) - длина водоранилища
4,4(24 оценок)
Ответ:
Helpmepleas17
Helpmepleas17
11.11.2020

1.А) Уравнением называется равенство, содержащее одно или несколько неизвестных, значение которых необходимо найти.

2. верный ответ Значение переменной, при котором уравнение обращается в верное  равенство.

среди предложенных не нашел.

3. линейным называют уравнение, в котором переменная /или переменные/ входят в первой степени, не равны нулю. можем еще так сказать

это уравнение вида ах+b=c

ax+by=c , где a, b, c - некоторые числа, х и у -переменные. причем а≠0, если речь об уравнении с двумя переменными, то а≠0;b≠0.

4. квадратное - это уравнение вида ах²+bx+c=0, где а,b,с - некоторые числа, причем а≠0, х и у-переменные.

5. Неравенство вида ах+b<0 (ах+b≤0, ах+b>0, ах+b≥0).где а≠0.

6. А) Уравнение имеет два равных действительных корня. но при условии, что решаем уравнение в области действительных чисел. иначе ответ Е.

7. А) Уравнение имеет два различных действительных корня. если речь о решении кв. уравнения в области действительных чисел.

иначе ответ Е.

8. А) Уравнение не имеет действительных корней.

9.D=b²-4ас

10. А) Уравнения, имеющие одно и то же множество решений

11. 7х-8=2х-3⇒А)х=1

12. 3-4х=5+8х⇒12х=-2, х=-1/6, верного ответа нет.

13. 7-х=-4+10х; х=1

14. 4х-4=6+3х⇒А)х=10

15. А) -0.5

16. 7-3х-3=х-1⇒А)1.25

17. -15+3х=2х-19⇒А)-4

18. 3-2х<5-3х⇒А) x<2

19. 5х+6>3х-2⇒А) x>-4

20. 3х-5≥23-4х⇒А) x≥4

21. По Виету А) 4;-2

22. 3х²-2х-1=0−1

здесь два ответа . ноль и 2/3

23. у=х+1 целая прямая ответов. подходят А, С,

24.-  нет системы

25.аналогично.

26. аналогично

27 нет

28. 10х²-х+1=0  А) Не имеет действительных корней

29 нет уравнения

30нет неравенства. но больше половины, как требуют правила, я решил вам.

bb

4,6(20 оценок)
Это интересно:
Новые ответы от MOGZ: Математика
logo
Вход Регистрация
Что ты хочешь узнать?
Спроси Mozg
Открыть лучший ответ