М
Молодежь
К
Компьютеры-и-электроника
Д
Дом-и-сад
С
Стиль-и-уход-за-собой
П
Праздники-и-традиции
Т
Транспорт
П
Путешествия
С
Семейная-жизнь
Ф
Философия-и-религия
Б
Без категории
М
Мир-работы
Х
Хобби-и-рукоделие
И
Искусство-и-развлечения
В
Взаимоотношения
З
Здоровье
К
Кулинария-и-гостеприимство
Ф
Финансы-и-бизнес
П
Питомцы-и-животные
О
Образование
О
Образование-и-коммуникации
Romizn
Romizn
28.10.2020 13:03 •  Математика

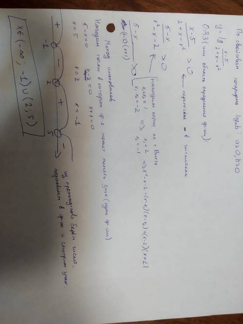
решить 3 номер.Если можно с подробным описанием


решить 3 номер.Если можно с подробным описанием

👇
Ответ:
nastyadolbakp0837c
nastyadolbakp0837c
28.10.2020

Вложение

Пошаговое объяснение:


решить 3 номер.Если можно с подробным описанием
4,4(51 оценок)
Открыть все ответы
Ответ:
donamigo2012
donamigo2012
28.10.2020
Так как обе планеты вращаются по эллиптической орбите вокруг Солнца, расстояние от Земли до Юпитера постоянно меняется. Когда две планеты располагаются на ближайшем расстоянии друг к другу, расстояние до Юпитера составляет всего 365 миллионов мили (примерно 588 миллионов километров). В своей ближайшей к нам точке Юпитер светит настолько ярко, что даже Венера тускнеет в сравнении с ним. В своем крайнем положении к нашей Земле планета Юпитер лежит на расстоянии в 601 000 000 мили (968 000 000 км).

Юпитеру требуется около 11,86 земных лет, чтобы завершить один полный оборот вокруг Солнца. Земля вращается вокруг Солнца и раз в 398,9 дней догоняет Юпитер, так что можно сказать, что Юпитер отстает от нас. Это отставание вызвало ряд проблем для теории Коперника, чьи правильные круги не учитывают очевидной «петли» Юпитера и других планет. Такая эллиптическая орбита не была определена до Иоганна Кеплера.
4,6(76 оценок)
Ответ:
toniskvortsov1
toniskvortsov1
28.10.2020
Истоки народного поэтического творчества, или фольклора (от английского folklore — народное знание, народная мудрость), берут начало в глубокой древности. В те далекие времена люди не умели писать, поэтому все свои знания передавали в устных рассказах. Народная мудрость нашла отражение и в творчестве.

Стоит отметить, что фольклор это не только искусство слова, устная поэзия. В нем также присутствуют элементы театрализации — жесты, интонация, мимика, потому что все произведения исполняются вживую. Например, частушки до сих пор поют под аккомпанемент гармони или балалайки, нередко неотъемлемой частью песен является танец. Таким образом, устное народное творчество органично соединяет в себе характерные особенности не

скольких видов искусств.

Благодаря длительному пути исторического развития, в фольклоре нашли отображение самые разные стороны жизни народа. Фольклор отличается жанровым богатством и разнообразием. Это пословицы и поговорки, загадки и сказки, календарная и семейно-бытовая обрядовая поэзия, былины, легенды, предания, а также , исторические и лирические песни, драматические произведения, частушки, детский фольклор.

Кроме общих жанров, таких, как сказки, загадки, пословицы, в фольклоре каждого народа есть только ему присущие разновидности. Так, только в украинском народном творчестве существуют коломыйки и думы, но нет свойственных русскому фольклору частушек и былин.

В фольклоре очень большое значение имеют традиции. Это выражается в том, что на протяжении многих столетий сохраняется относительная устойчивость "словесного текста напева и характера исполнения", сюжетных линий и героев, выразительных средств и форм. То есть от поколения к поколению произведение передается без существенных изменений. В результате такого подхода, по записям, сделанным собирателями фольклора в XVII–XIX веках, можно составить представление о былинах XI–XIII столетий или об исторических песнях, сложенных 500–600 лет назад.

Устное народное творчество является не только ценным вкладом в сокровищницу мировой культуры, но и имеет важное познавательное и эстетическое значение.
4,8(95 оценок)
Это интересно:
Новые ответы от MOGZ: Математика
logo
Вход Регистрация
Что ты хочешь узнать?
Спроси Mozg
Открыть лучший ответ