М
Молодежь
К
Компьютеры-и-электроника
Д
Дом-и-сад
С
Стиль-и-уход-за-собой
П
Праздники-и-традиции
Т
Транспорт
П
Путешествия
С
Семейная-жизнь
Ф
Философия-и-религия
Б
Без категории
М
Мир-работы
Х
Хобби-и-рукоделие
И
Искусство-и-развлечения
В
Взаимоотношения
З
Здоровье
К
Кулинария-и-гостеприимство
Ф
Финансы-и-бизнес
П
Питомцы-и-животные
О
Образование
О
Образование-и-коммуникации
hudo1
hudo1
02.07.2022 04:50 •  Математика

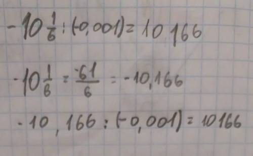
-10 1/6:(-0,001) Как это решить

👇
Ответ:
vitaly10
vitaly10
02.07.2022

Пошаговое объяснение:

думаю если правильно поняла то так


-10 1/6:(-0,001) Как это решить
4,7(73 оценок)
Открыть все ответы
Ответ:
zhazi9494e
zhazi9494e
02.07.2022

ответ:

пошаговое объяснение:

дано:

авсд - трапеция

ав=12см

сд=13см

угол авс=уголсад(биссектриса делит пополам)

найти:

sавсд

решение :

проведем вн_i_ад всдн- прямоугольник сд=вн=12 см вс=дн.

из треугольника авн ан=корень 169-144=5 см.

треугольник авс. угол сад=вса - как внутренний накрест лежащий при вс//ад. углы при основании равны равны и боковые стороны ав=вс=13.

ад=ан+нд=13+5=18 см.

s=½h(a+b)

sabcd=12/2(13+18)=6*31=234 см ^2

или

пусть трапеции abcd, где прямой угол - а.. проведём высоту из т. с. назовём её со. бис-са выходит из угла d. тогда

1)угол dbc=bda, тк являбтся накрест лежащимт при прямых bc и ad и секущей bd. тогда получается, что треуг bd равнобедренный.

2) в ранобедренном трег боковые стороны равны. bc=cd=13см.

3) рассмотрим прямоуг. abco. в прямоуг противолежсщие стороны равны. ab=co=12, bc=ao=13.

4) рассмотрим треуг cod. по теореме пифагора оd^2= 169-144=25. значит od=5см.

5) ad=13+5=18см

s=½h(a+b)

6)sabcd=12/2(13+18)=6*31=234 см ^2

4,7(54 оценок)
Ответ:
krissalis9
krissalis9
02.07.2022

last summer i spent with grandparents. their cottage is close to the small, quiet and beautiful town myshkin on the volga. the house has six bedrooms, three downstairs and three upstairs. grandpa even has his own office, where many, many books and a computer. the most interesting place in the house - the attic. there are many things that are reminiscent of my childhood. the nearest neighbors are very sociable and caring people, they help the grandparents when we do not. as a child i used to spend every summer, poeomu i have a lot of friends. not far from the house - a huge soccer field, and last summer we used to play football. of course we went hiking, paltki broke and slept in sleeping bags. it was great! but not only did i enjoy life, i had to do chores, i vacuumed the entire house. my friends offered to help repair my room. we used a hose from a vacuum cleaner to whiten it. beautiful summer! 2.-anne, i want to talk with you, oh, that again is not it? -look at what a mess kitchen. can not you clean up? , i'm busy, i'm working on the computer. -do not forget, you also have dmashnie duties. i work from morning to night, go shopping, cook dinner. -you're right, mom. after five minutes, i'll wash the dishes clean

4,8(82 оценок)
Это интересно:
Новые ответы от MOGZ: Математика
logo
Вход Регистрация
Что ты хочешь узнать?
Спроси Mozg
Открыть лучший ответ