М
Молодежь
К
Компьютеры-и-электроника
Д
Дом-и-сад
С
Стиль-и-уход-за-собой
П
Праздники-и-традиции
Т
Транспорт
П
Путешествия
С
Семейная-жизнь
Ф
Философия-и-религия
Б
Без категории
М
Мир-работы
Х
Хобби-и-рукоделие
И
Искусство-и-развлечения
В
Взаимоотношения
З
Здоровье
К
Кулинария-и-гостеприимство
Ф
Финансы-и-бизнес
П
Питомцы-и-животные
О
Образование
О
Образование-и-коммуникации
leyla623
leyla623
23.12.2020 14:57 •  Математика

145\320-х=65\320-14\320 решить уровнение.

👇
Ответ:
Leola1
Leola1
23.12.2020

удачи тебе получи 5 ♥️


145\320-х=65\320-14\320 решить уровнение.
4,8(62 оценок)
Ответ:
EsmaVaida
EsmaVaida
23.12.2020

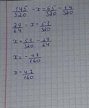
х = 47/160

Пошаговое объяснение:

145/320-х = 65/320-14/320

145/320-х = 51/320

-х =51/320 - 145/320

-х = -94/320 → числитель и знаменатель сокращаем на 2

х = 47/160

4,5(51 оценок)
Открыть все ответы
Ответ:
Dryunya1989
Dryunya1989
23.12.2020
Выполни кратное сравнение следующих велечин:180км/ч и 5м/с; 15стр/мин и 1стр/с; 60руб/ц и 300руб/т.

1))) 180км/ч и 5м/с
1км=1000м
1час=60мин=360сек

5м/с= (5м•360сек)= 1800м/ч

1800м/ч :1000м=1,8км/час

180км/ч : 1,8км/ч= 100 раз

ответ: 180км/ч больше в 100 раз чем 5м/с

2)) 15стр/мин и 1стр/с
1мин= 60сек

1стр/с= 1стр•60сек= 60стр/мин

15стр/мин : 60стр/мин = 15/60стр/мин= 1/4стр/мин
1: 1/4= 4раза
Или так
60стр/мин : 15стр/мин= 4 раза

ответ: 15стр/мин в 4 раза меньше чем 1стр/сек

3)) 60руб/ц и 300 руб/т
1т=10ц

60руб/ц= (60•10)руб/т= 600руб/т

600руб/т : 300руб/т= 2 раза

ответ: 60 руб/ц больше в 2 раза чем 300руб/т
4,4(18 оценок)
Ответ:
wista196
wista196
23.12.2020
Выполни кратное сравнение следующих велечин:180км/ч и 5м/с; 15стр/мин и 1стр/с; 60руб/ц и 300руб/т.

1))) 180км/ч и 5м/с
1км=1000м
1час=60мин=360сек

5м/с= (5м•360сек)= 1800м/ч

1800м/ч :1000м=1,8км/час

180км/ч : 1,8км/ч= 100 раз

ответ: 180км/ч больше в 100 раз чем 5м/с

2)) 15стр/мин и 1стр/с
1мин= 60сек

1стр/с= 1стр•60сек= 60стр/мин

15стр/мин : 60стр/мин = 15/60стр/мин= 1/4стр/мин
1: 1/4= 4раза
Или так
60стр/мин : 15стр/мин= 4 раза

ответ: 15стр/мин в 4 раза меньше чем 1стр/сек

3)) 60руб/ц и 300 руб/т
1т=10ц

60руб/ц= (60•10)руб/т= 600руб/т

600руб/т : 300руб/т= 2 раза

ответ: 60 руб/ц больше в 2 раза чем 300руб/т

ВЫПОЛНИ РАЗНОСТНОЕ СРАВНЕНТЕ ВЕЛИЧИН

1)) 60км/ч и 20м/с          
1км=1000м
1ч=60мин=360сек

20м/с= (20•360)м/ч= 7200м/ч
7200м/ч :1000м= 7,2км/ч

60 км/ч -7,2км/ч= 52,8км/ч разность

ответ: 60 км/ч больше на 52,8км/ч чем 20м/с

2)) 90дет/ч и 2 дет./мин                
1ч=60мин

2дет/мин= (2дет•60мин)= 120дет/ч

120дет/ч - 90дет/ч= 30дет/ч разница

ответ: 2дет/мин больше на 30дет/ч чем 90дет/ч

3)) 50руб/кг и 4500руб./ц
1ц=100кг

50руб/кг= (50руб•100кг)= 5000руб/ц

5000руб/ц - 4500руб/ц= 500руб разница

ответ: 50руб/кг на 500руб/ц больше чем 4500руб/ц
4,7(15 оценок)
Новые ответы от MOGZ: Математика
logo
Вход Регистрация
Что ты хочешь узнать?
Спроси Mozg
Открыть лучший ответ