(см. объяснение)
Пошаговое объяснение:
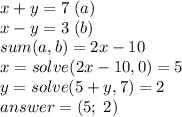
Выполним сложение двух строк, откуда получим, что x=5. Теперь подставим это значение в первую строку системы и найдем y. Получим, что ответ (5; 2).
Запишем вышесказанное, используя сокращенно-усложненный математический записи:

Задание выполнено!
а)
1 минут = 1/60 сағат 60-тан 1 бөлігі (60-астында, 1-үстінде)
25 минут = 5/12 сағат 12-ден 5 бөлігі (12-астында, 5-үстінде)
59 минут = 59/60 сағат 60-тан 59 бөлігі (60-астында, 59-үстінде)
ә)
1 см = 1/100 метр 100-ден 1 бөлігі (100-астында, 1 -үстінде)
2 см = 1/50 метр 50-ден 1 бөлігі (50-астында, 1-үстінде)
9 см =9/100 метр 100-ден 9 бөлігі (100-астында, 9-үстінде)
б)
1 кг = 1/100 центнер 100-ден 1 бөлігі (100-астында, 1-үстінде)
25 кг = 1/4 центнер 4-тен 1 бөлігі (4-астында, 1-үстінде)
87 кг = 87/100 центнер 100-ден 87 бөлігі (100-астында, 87-үстінде)
х=5
у=2
Пошаговое объяснение:
x+y=7
+
x-y=3
2х=10
х=5
х+у=7
у=7-х
у=7-5=2