
Первый ряд:
Делаем вывод из наших примеров и получаем что к первому числу нужно прибавить 2, ко второму 4, и так далее.
Закономерность меняется на +2 каждый раз.
22-14=8
14-8=6
8-4=4
4-2=2
ответ: 2,4,8,14,22,32,44,58.
Второй ряд:
Делаем вывод из вычислений, каждое число нужно умножить на три (*3)
27/9=3
9/3=3
3/1=3
ответ: 1,3,9,27,81,243,729.
Третий ряд:
Также из примеров делаем вывод и получаем что нужно вычесть двенадцать и к следующему числу прибавить семь (-12,+7)
89-77=12
89-82=7
94-82=12
94-87=7
99-87=12
ответ: 99,87,94,82,89,77,84,72,79.
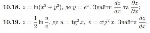
10.18
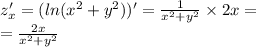
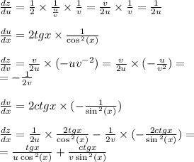
10.19
(в правой части закруглённые d. Внизу, соответственно, тоже)