М
Молодежь
К
Компьютеры-и-электроника
Д
Дом-и-сад
С
Стиль-и-уход-за-собой
П
Праздники-и-традиции
Т
Транспорт
П
Путешествия
С
Семейная-жизнь
Ф
Философия-и-религия
Б
Без категории
М
Мир-работы
Х
Хобби-и-рукоделие
И
Искусство-и-развлечения
В
Взаимоотношения
З
Здоровье
К
Кулинария-и-гостеприимство
Ф
Финансы-и-бизнес
П
Питомцы-и-животные
О
Образование
О
Образование-и-коммуникации
NoirShade
NoirShade
17.10.2021 15:59 •  Математика

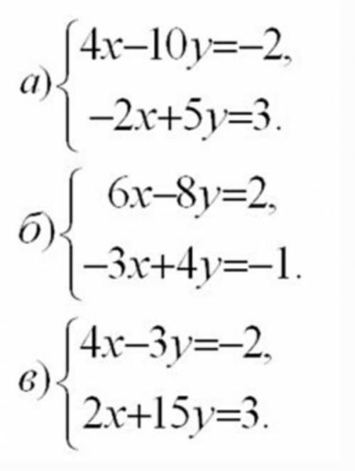
Системы линейных уравнений с двумя неизвестными решить графически и указать количество решений ​


Системы линейных уравнений с двумя неизвестными решить графически и указать количество решений ​

👇
Открыть все ответы
Ответ:
DarthMalgus
DarthMalgus
17.10.2021
Он при ее под себя, считая это необходимым для выживания. В главной мере для комфорта. Во все времена человек добывал полезные ископаемые (нефть для транспорта, газ для отопления и так-же для транспорта, руды для изготовления красивых вещей или же просто подручных предметов) и когда-нибудь они конечно кончатся. Человек вырубает леса для постройки новых улиц, новых домов, человек загрязняет то, в чем он живет. Все это ради своего удобства. Иногда в некоторых людях просыпается нотка сострадания к "братьям нашим меньшим" и человек строит заповедники или же вольеры для сохранения редких видов животных, но все это не сравниться по площади со средой обитания человека. К сожалению человека уже не изменить. Он слишком привык к этому. Он вечный раб своих страстей.
4,6(91 оценок)
Ответ:
bayosoz5oe5
bayosoz5oe5
17.10.2021
Если число делится и на 11 и на 13З, то оно делится и на 11*13-143 (т.к. 11 и 13 - взаимно простые). Количество чисел, которые делятся на 143, равно [1000000/143]-6993. Количество чисел, которые делятся на 11, равно [1000000/11]-90909. Количество чисел, которые делятся на 13, равно [1000000/13]-76923. Значит, количество тех, которые делятся на 11, но не делятся на 13 равно 90909-6993=83916. Количество тех, которые делятся на 13, но не делятся на 11 равно 76923-6993-69930. Таким образом, тех которые делятся на 11 но не делятся на 13 больше, чем тех, которые делятся на 13, но делятся на 11. P.S. [..J - это целая часть числа.
4,5(22 оценок)
Это интересно:
Новые ответы от MOGZ: Математика
logo
Вход Регистрация
Что ты хочешь узнать?
Спроси Mozg
Открыть лучший ответ