
Древнеегипетский календарь
Солнечный. История европейского календаря начинается в Древнем Египте около 4000 лет до н. э. Египетские жрецы заметили, что ежегодный разлив великой реки начинался сразу после летнего солнцестояния (ныне - 21-22 июня) . И в это же время в предутреннем небе появлялась звезда Сириус после 70-дневного периода ее невидимости. Установив связь между этими явлениями, древние звездочеты на основании вычислений восходов Сириуса научились предсказывать начало нильских разливов, с которых начинался хозяйственный год. Египтяне определили год как период между двумя солнцестояниями и посчитали его равным 365 дням. Он состоял из 12 месяцев по 30 дней (без связи с фазами Луны) . Последние 5 дней года не входили ни в один месяц, добавлялись в конце последнего месяца. Новый год должен был начинаться 19 июля - в день, когда на небе "восходил" (т. е. становился видимым) Сириус. Однако, поскольку високосных дней не прибавлялось, то каждые 4 года Новый год отставал на 1 день и только через 1460 лет опять приходился на день "восхода" звезды Сириус.
Названия египетских месяцев в греческих и арамейских документах: 1.Тот4.Хойак7.Фаменот10.Паини 2.Паофи5.Тиби8.Фармути11.Эпифи
3.Хатир6.Мехир9.Пахон12.Месоре
Римское летосчисление исходило из условной даты основания Рима. За точку отсчета принимался 750 г. до н. э. Все остальные даты устанавливались относительно auc — ab urbe condita (от основания Города) . Схема была изменена в I в. н. э. , когда М. Теренций Варрон (636—725 auc), «ученейший из римлян» , вычислил, что Рим был основан в 753 г. до н. э. Но к тому времени римляне уже привыкли и к альтернативной системе: обозначать год не числом, а по имени правящих консулов. И в официальных свидетельствах, и в обыденных разговорах говорили (писали) о «годе Г. Теренция Варрона и Л. Эмилия Павла» (216 г. до н. э. ) или о «семи консульствах Г. Мария» (107, 104, 103, 102, 101, 100 и 86 гг. до н. э.) . Для такой системы следовало основательно знать римскую историю. Но мало кто из образованных римлян не знал, что старший Варрон и Эмилий Павел командовали римской армией во время бедствия при Каннах.
К счастью, две системы были сопоставимы. Гай Юлий Цезарь понял, что календарь стал неэффективным. Старый римский год, в котором было только 304 дня, делился на 10 месяцев, начиная с XI Kal. Maius (или 21 апреля) . Дополнительные месяцы Ianuarius и Februarius были придуманы для заполнения пробелов. В третье консульство Цезаря были проведены реформы. Текущий год был продлен на 151 день — так, чтобы новый год мог начаться 1 января 704 auc (45 г. до н. э. ) и продолжался бы 365 дней — до 31 декабря. Дальнейшие поправки были сделаны при Августе в 737 auc (4 г. н. э.) , когда прежние пятый и шестой месяцы — Quintilis и Sextilis — были названы Julius (в честь Цезаря) и Augustus, а раз в четыре года вводился bissextile (лишний день високосного года) . Получившийся в результате юлианский год длиной в 365 с четвертью дней не совпадал со временем вращения Земли только на 11 минут и 12 секунд и оставался в общем употреблении до 1582 г. н. э.
Консулы назначались и во время принципата; сохранялся и обычай считать годы по консулатам. На годы же правления императоров не ссылались. Позднее, во времена домината, когда консулат был отменен, система летоисчисления дополнялась и поддерживалась отсылками к пятнадцатилетним циклам индикта. В середине VI в. наконец возобладало христианское летосчисление, но римская система подсчета годов оставалась в употреблении в течение тринадцати веков. сократить чуточку надо
Древнеегипетский календарь
Солнечный. История европейского календаря начинается в Древнем Египте около 4000 лет до н. э. Египетские жрецы заметили, что ежегодный разлив великой реки начинался сразу после летнего солнцестояния (ныне - 21-22 июня) . И в это же время в предутреннем небе появлялась звезда Сириус после 70-дневного периода ее невидимости. Установив связь между этими явлениями, древние звездочеты на основании вычислений восходов Сириуса научились предсказывать начало нильских разливов, с которых начинался хозяйственный год. Египтяне определили год как период между двумя солнцестояниями и посчитали его равным 365 дням. Он состоял из 12 месяцев по 30 дней (без связи с фазами Луны) . Последние 5 дней года не входили ни в один месяц, добавлялись в конце последнего месяца. Новый год должен был начинаться 19 июля - в день, когда на небе "восходил" (т. е. становился видимым) Сириус. Однако, поскольку високосных дней не прибавлялось, то каждые 4 года Новый год отставал на 1 день и только через 1460 лет опять приходился на день "восхода" звезды Сириус.
Названия египетских месяцев в греческих и арамейских документах: 1.Тот4.Хойак7.Фаменот10.Паини 2.Паофи5.Тиби8.Фармути11.Эпифи
3.Хатир6.Мехир9.Пахон12.Месоре
Римское летосчисление исходило из условной даты основания Рима. За точку отсчета принимался 750 г. до н. э. Все остальные даты устанавливались относительно auc — ab urbe condita (от основания Города) . Схема была изменена в I в. н. э. , когда М. Теренций Варрон (636—725 auc), «ученейший из римлян» , вычислил, что Рим был основан в 753 г. до н. э. Но к тому времени римляне уже привыкли и к альтернативной системе: обозначать год не числом, а по имени правящих консулов. И в официальных свидетельствах, и в обыденных разговорах говорили (писали) о «годе Г. Теренция Варрона и Л. Эмилия Павла» (216 г. до н. э. ) или о «семи консульствах Г. Мария» (107, 104, 103, 102, 101, 100 и 86 гг. до н. э.) . Для такой системы следовало основательно знать римскую историю. Но мало кто из образованных римлян не знал, что старший Варрон и Эмилий Павел командовали римской армией во время бедствия при Каннах.
К счастью, две системы были сопоставимы. Гай Юлий Цезарь понял, что календарь стал неэффективным. Старый римский год, в котором было только 304 дня, делился на 10 месяцев, начиная с XI Kal. Maius (или 21 апреля) . Дополнительные месяцы Ianuarius и Februarius были придуманы для заполнения пробелов. В третье консульство Цезаря были проведены реформы. Текущий год был продлен на 151 день — так, чтобы новый год мог начаться 1 января 704 auc (45 г. до н. э. ) и продолжался бы 365 дней — до 31 декабря. Дальнейшие поправки были сделаны при Августе в 737 auc (4 г. н. э.) , когда прежние пятый и шестой месяцы — Quintilis и Sextilis — были названы Julius (в честь Цезаря) и Augustus, а раз в четыре года вводился bissextile (лишний день високосного года) . Получившийся в результате юлианский год длиной в 365 с четвертью дней не совпадал со временем вращения Земли только на 11 минут и 12 секунд и оставался в общем употреблении до 1582 г. н. э.
Консулы назначались и во время принципата; сохранялся и обычай считать годы по консулатам. На годы же правления императоров не ссылались. Позднее, во времена домината, когда консулат был отменен, система летоисчисления дополнялась и поддерживалась отсылками к пятнадцатилетним циклам индикта. В середине VI в. наконец возобладало христианское летосчисление, но римская система подсчета годов оставалась в употреблении в течение тринадцати веков. сократить чуточку надо
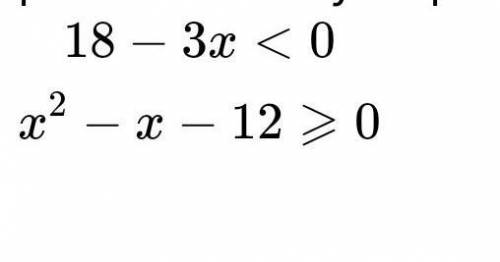
Пошаговое объяснение:
{18-3х<0
{х²-х-12≥0
18<3х ; х>6.
второе неравенство : найдем корни уравнения :
х²-х-12=0
х₁₂=(1±√(1+48)/2
х₁=(1+7)/2=8/2=4.
х₂=(1-7))/2=-6/2=-3.
Неравенство примет вид:
(х-4)(х+3)≥0
Теперь наша система имеет вид:
{х>6
((х-4)(х+3)≥0
Переходим к методу интервалов:
-- (6) ( первое неравенство) х∈(6;+∞). [-3][4](второе неравенство) х∈(-∞;3]∪[4;+∞).
Находим совпадение.
х∈(6;+∞)