М
Молодежь
К
Компьютеры-и-электроника
Д
Дом-и-сад
С
Стиль-и-уход-за-собой
П
Праздники-и-традиции
Т
Транспорт
П
Путешествия
С
Семейная-жизнь
Ф
Философия-и-религия
Б
Без категории
М
Мир-работы
Х
Хобби-и-рукоделие
И
Искусство-и-развлечения
В
Взаимоотношения
З
Здоровье
К
Кулинария-и-гостеприимство
Ф
Финансы-и-бизнес
П
Питомцы-и-животные
О
Образование
О
Образование-и-коммуникации
Mino6
Mino6
27.07.2022 02:05 •  Математика

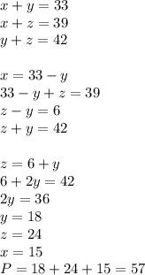
Сумма длин 1 и 2 стороны = 33см, 1 и 3 = 39см, 2 и 3 = 42см. определить периметр треугольника

👇
Ответ:
влад2162
влад2162
27.07.2022
Длины равны x,y,z
x+y=33\\
x+z=39\\
y+z=42\\
\\
x=33-y\\
33-y+z=39\\
z-y=6\\
z+y=42\\
\\
z=6+y\\
6+2y=42\\
2y=36\\
y=18\\
z=24\\
x=15\\
 P=18+24+15=57
4,6(92 оценок)
Открыть все ответы
Ответ:
RU2017
RU2017
27.07.2022

Найдем уравнение стороны AB. Уравнение прямой проходящей через точки A (x a, y a) и B (x b, y b) в общем виде: x - x a=y - y a    x b - x ay b - y aПодставим координаты точек A (-4, 2)  и  B (6, -4) в уравнение прямой (1).x - (-4)=y - 26 - (-4)-4 - 2x + 4=y - 210-6x + 4=y - 25-3В знаменателях пропорции стоят числа 5 и -3.ВекторAB = (5, -3) называется направляющим вектором прямой AB.SВекторAB = (5, -3) параллелен прямой AB.S-3 ( x + 4 ) = 5 ( y - 2 )- 3 x - 12 = 5 y - 10- 3 x - 5 y - 2 = 0 - уравнение прямой AB.  

Найдем уравнение высоты CH проведенной из вершины С на сторону АВ. Уравнение прямой проходящей через точки С (x c, y c) и H (x h, y h) в общем виде: x - x c=y - y c(4)x h - x cy h - y cМы не знаем координаты точки H, следовательно, нам необходимо найти направляющий вектор прямой CH.Mы знаем, что прямая CH перпендикулярна прямой AB, следовательно, направляющий вектор прямой CH параллелен нормальному вектору прямой AB.CH ||AB SNT.е. в качестве направляющего вектора прямой CH можно принять NПодставим координаты вектораAB = (-3, -5) в уравнение (4).Nx - x c=y - y c-3-5Подставим координаты точки C (4, 10).x - 4=y - 10-3-5x - 4=y - 10-3-5-5 ( x - 4 ) = -3 ( y - 10 )- 5 x + 20 = - 3 y + 30- 5 x + 3 y - 10 = 0 - уравнение высоты СН.  

Уравнение прямой проходящей через точки A (x a, y a) и M (x m, y m) в общем виде: x - x a=y - y a(6)x m - x ay m - y aМы не знаем координаты точки M, следовательно, нам необходимо найти направляющий вектор прямой AMMы знаем, что прямая AM перпендикулярна прямой CB, следовательно, направляющий вектор прямой AM параллелен нормальному вектору прямой CB.AM ||CBSNT.е. в качестве направляющего вектора прямой AM можно принять нормальный вектор NПодставим координаты вектораCB = (-7, -1) в уравнение (6).Nx - x a=y - y a-7-1Подставим координаты точки A (-4, 2).x - (-4)=y - 2-7-1x + 4=y - 2-7-1-1 ( x + 4 ) = -7 ( y - 2 )- x - 4 = - 7 y + 14- x + 7 y - 18 = 0 - уравнение высоты AM

Пошаговое объяснение:

4,6(56 оценок)
Ответ:
eerihovp08oqz
eerihovp08oqz
27.07.2022

1000 000 - 728 - 864 464 : 97 + 234 589 =

1000 000 - 728 - 864 464 : 97 + 234 589 == 1 224 949

1000 000 - 728 - 864 464 : 97 + 234 589 == 1 224 9491)864 464 : 97 = 8912

1000 000 - 728 - 864 464 : 97 + 234 589 == 1 224 9491)864 464 : 97 = 89122)1 000 000 - 728 = 999 272

1000 000 - 728 - 864 464 : 97 + 234 589 == 1 224 9491)864 464 : 97 = 89122)1 000 000 - 728 = 999 2723)999 272 - 8912 = 990 360

1000 000 - 728 - 864 464 : 97 + 234 589 == 1 224 9491)864 464 : 97 = 89122)1 000 000 - 728 = 999 2723)999 272 - 8912 = 990 3604)234 589 + 990 360=1 224 949

1 000 000 - 948 - (592 263 : 79 + 178 249) =

1 000 000 - 948 - (592 263 : 79 + 178 249) == 813 306

1 000 000 - 948 - (592 263 : 79 + 178 249) == 813 3061)592 263 : 79 = 7497

1 000 000 - 948 - (592 263 : 79 + 178 249) == 813 3061)592 263 : 79 = 74972)178 249 + 7497 = 185 746

1 000 000 - 948 - (592 263 : 79 + 178 249) == 813 3061)592 263 : 79 = 74972)178 249 + 7497 = 185 7463)1 000 000 - 948 = 999 052

1 000 000 - 948 - (592 263 : 79 + 178 249) == 813 3061)592 263 : 79 = 74972)178 249 + 7497 = 185 7463)1 000 000 - 948 = 999 0524)999 052 - 185 746 = 813 306

4,8(27 оценок)
Новые ответы от MOGZ: Математика
logo
Вход Регистрация
Что ты хочешь узнать?
Спроси Mozg
Открыть лучший ответ