М
Молодежь
К
Компьютеры-и-электроника
Д
Дом-и-сад
С
Стиль-и-уход-за-собой
П
Праздники-и-традиции
Т
Транспорт
П
Путешествия
С
Семейная-жизнь
Ф
Философия-и-религия
Б
Без категории
М
Мир-работы
Х
Хобби-и-рукоделие
И
Искусство-и-развлечения
В
Взаимоотношения
З
Здоровье
К
Кулинария-и-гостеприимство
Ф
Финансы-и-бизнес
П
Питомцы-и-животные
О
Образование
О
Образование-и-коммуникации
wbkamtoy
wbkamtoy
11.01.2020 16:28 •  Математика

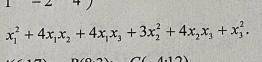
Привести квадратичную форму к каноническому виду:


Привести квадратичную форму к каноническому виду:

👇
Открыть все ответы
Ответ:
ксения6538
ксения6538
11.01.2020
Когда звонишь в 112, тебя связывают с каким-либо тебе нужным..оператором. (полиция, скорая, мчс, газовая служба и т.д.). РСЧС сразу же контролирует это, записывает, сообщает всем подразделениям. Если где-то надвигается ураган (Сильный порыв ветра), или наводнение. Вы сразу звоните в службу Все опера (оперативники, слежба быстрого реагирования) выезжают к месту ЧС. РСЧС также связаны. Они докладывают информацию, что и как. Обстановку. Решают, куда направить народ, обезопасить их. Накормить, напоить и предоставить жилье. 
Также и с техногенным характером. 
4,8(56 оценок)
Ответ:
remizov011
remizov011
11.01.2020
Причины возникновения Пристрастие распространяется среди всех слоев населения, вне зависимости от социального положения и возраста. Подростковая зависимость В эту группу входят пациенты отроческого, юношеского и начального взрослого возраста. Возрастные рамки от 14 до 24 лет. Это студенты, школьники, молодые люди службу в армии. Причины подростк: Не к адаптации к изменившимся условиям окружающего мира. Незавершенность разрыва между матерью и ребёнком. Несостоявшаяся индивидуализация. Поиск путей освобождения от физического и эмоционального благополучия. Скука, разочарование, тревога, одиночество, депрессия. Мотив эйфории, замаскированный социальным протестом, модой. Низкая информированность о вреде наркотиков. Любопытство.
4,5(72 оценок)
Новые ответы от MOGZ: Математика
Полный доступ к MOGZ
Живи умнее Безлимитный доступ к MOGZ Оформи подписку
logo
Вход Регистрация
Что ты хочешь узнать?
Спроси Mozg
Открыть лучший ответ