М
Молодежь
К
Компьютеры-и-электроника
Д
Дом-и-сад
С
Стиль-и-уход-за-собой
П
Праздники-и-традиции
Т
Транспорт
П
Путешествия
С
Семейная-жизнь
Ф
Философия-и-религия
Б
Без категории
М
Мир-работы
Х
Хобби-и-рукоделие
И
Искусство-и-развлечения
В
Взаимоотношения
З
Здоровье
К
Кулинария-и-гостеприимство
Ф
Финансы-и-бизнес
П
Питомцы-и-животные
О
Образование
О
Образование-и-коммуникации
oraevadiana
oraevadiana
12.12.2020 06:28 •  Математика

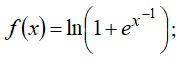
Исследовать функцию на непрерывность показать поведение функции в окрестностях точек разрыва.


Исследовать функцию на непрерывность показать поведение функции в окрестностях точек разрыва.

👇
Открыть все ответы
Ответ:
ahlammimi96
ahlammimi96
12.12.2020

Пусть где-то стоит единица. Рядом с ней может стоять только 2 (пусть она стоит справа) и 3 (слева). Среди чисел от 1 до 100 встречаются чётные и нечётные числа. Очевидно, правее двойки могут стоять только чётные числа (Ч + 2 = Ч, Ч*2 = Ч), значит, слева от 3 должны быть все нечётные числа: 5, 7, 9, ..., 99. Получается, 99 встретится с каким-то чётным числом. Натуральным числом, отличающимся от 99 в два раза может быть только 198, что больше 100 (если число отличается на 2, то оно нечётное, поэтому этот случай не рассматриваем). Значит, такого быть не может.

ответ: нет

4,6(73 оценок)
Ответ:
1 шаг
Чтобы быстро выучить текст, надо подойти к этому делу с желанием. И заблаговременно. Пусть текст не вызывает у вас страх (лучше уж вы у него) .
Выберите для заучивания дневное время, когда ваш мозг еще не переутомлен.
2 шаг
Прочитайте текст и вникните в суть. Учить без понимания бестолку.
3 шаг
Если вы являетесь редким обладателем слуховой памяти, то запишите текст на магнитофон, разбейте его на отрывки прослушивайте и заучивайте.
4 шаг
После того, как вы выучили текст неплохо было бы отвлечься, заняться другим делом. А потом снова его повторить. Обязательно повторите выученный отрывок пред сном.
4,4(62 оценок)
Это интересно:
Новые ответы от MOGZ: Математика
logo
Вход Регистрация
Что ты хочешь узнать?
Спроси Mozg
Открыть лучший ответ