М
Молодежь
К
Компьютеры-и-электроника
Д
Дом-и-сад
С
Стиль-и-уход-за-собой
П
Праздники-и-традиции
Т
Транспорт
П
Путешествия
С
Семейная-жизнь
Ф
Философия-и-религия
Б
Без категории
М
Мир-работы
Х
Хобби-и-рукоделие
И
Искусство-и-развлечения
В
Взаимоотношения
З
Здоровье
К
Кулинария-и-гостеприимство
Ф
Финансы-и-бизнес
П
Питомцы-и-животные
О
Образование
О
Образование-и-коммуникации
hdhsjs
hdhsjs
17.08.2022 12:28 •  Математика

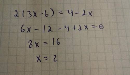
1) 2×(3x-6) =4-2x
2) 3×(6x-5)=7×(2x-1) +42
3) 6y-5/3 = 7/8

👇
Ответ:
mkagermazov
mkagermazov
17.08.2022

1) х=2

2) х=5

3) у= 61/144


1) 2×(3x-6) =4-2x 2) 3×(6x-5)=7×(2x-1) +42 3) 6y-5/3 = 7/8
1) 2×(3x-6) =4-2x 2) 3×(6x-5)=7×(2x-1) +42 3) 6y-5/3 = 7/8
4,8(65 оценок)
Открыть все ответы
Ответ:
Доо43
Доо43
17.08.2022

1) Взаимно простые числа - такие, что не имеют общих делителей, кроме 1. Для них НОК - просто произведение:

3, 4: НОК(3, 4) = 12

3, 7: НОК(3, 7) = 21

3, 8: НОК(3, 8) = 24

4, 7: НОК(4, 7) = 28

4, 9: НОК(4, 9) = 36

6, 7: НОК(6, 7) = 42

7, 8: НОК(7, 8) = 56

7, 9: НОК(7, 9) = 63

8, 9: НОК(8, 9) = 72

2) Эти числа должны иметь вид x, n*x. Максимальное число, на которое делится каждое из них, равно x, а минимальное число, которое делится на каждое из них равно n*x.

3, 6: НОД(3, 6) = 3; НОК(3, 6) = 6

3, 9: НОД(3, 9) = 3; НОК(3, 9) = 9

4, 8: НОД(4, 8) = 4; НОК(4, 8) = 8

3) Сюда подойдут все пары, выписанные в пункте 2. Остальные пары:

4, 6: НОД(4, 6) = 2; НОК(4, 6) = 12

6, 8: НОД(6, 8) = 2; НОК(6, 8) = 24

6, 9: НОД(6, 9) = 3; НОК(6, 9) = 18

Пример вычисления для НОД и НОК пары 6 и 9:

Раскладываем на простые множители: 6 = 2 * 3, 9 = 3 * 3НОД - произведение всех простых множителей, входящих одновременно в оба разложения. НОД(6, 9) = 3НОК - произведение всех простых множителей, входящих хотя бы в одно разложение. НОК(6, 9) = 2 * 3 * 3 = 18.

Для упрощения жизни можно заметить, что для пары чисел x и y верно равенство: НОД(x, y) * НОК(x, y) = xy. Тогда, например, вычислив, что НОД(6, 9) = 3, сразу находим, что НОК(6, 9) = 6 * 9 / НОД(6, 9) = 54 / 3 = 18

4,7(74 оценок)
Ответ:
хіха
хіха
17.08.2022

1) Взаимно простые числа - такие, что не имеют общих делителей, кроме 1. Для них НОК - просто произведение:

3, 4: НОК(3, 4) = 12

3, 7: НОК(3, 7) = 21

3, 8: НОК(3, 8) = 24

4, 7: НОК(4, 7) = 28

4, 9: НОК(4, 9) = 36

6, 7: НОК(6, 7) = 42

7, 8: НОК(7, 8) = 56

7, 9: НОК(7, 9) = 63

8, 9: НОК(8, 9) = 72

2) Эти числа должны иметь вид x, n*x. Максимальное число, на которое делится каждое из них, равно x, а минимальное число, которое делится на каждое из них равно n*x.

3, 6: НОД(3, 6) = 3; НОК(3, 6) = 6

3, 9: НОД(3, 9) = 3; НОК(3, 9) = 9

4, 8: НОД(4, 8) = 4; НОК(4, 8) = 8

3) Сюда подойдут все пары, выписанные в пункте 2. Остальные пары:

4, 6: НОД(4, 6) = 2; НОК(4, 6) = 12

6, 8: НОД(6, 8) = 2; НОК(6, 8) = 24

6, 9: НОД(6, 9) = 3; НОК(6, 9) = 18

Пример вычисления для НОД и НОК пары 6 и 9:

Раскладываем на простые множители: 6 = 2 * 3, 9 = 3 * 3НОД - произведение всех простых множителей, входящих одновременно в оба разложения. НОД(6, 9) = 3НОК - произведение всех простых множителей, входящих хотя бы в одно разложение. НОК(6, 9) = 2 * 3 * 3 = 18.

Для упрощения жизни можно заметить, что для пары чисел x и y верно равенство: НОД(x, y) * НОК(x, y) = xy. Тогда, например, вычислив, что НОД(6, 9) = 3, сразу находим, что НОК(6, 9) = 6 * 9 / НОД(6, 9) = 54 / 3 = 18

4,5(99 оценок)
Новые ответы от MOGZ: Математика
logo
Вход Регистрация
Что ты хочешь узнать?
Спроси Mozg
Открыть лучший ответ