М
Молодежь
К
Компьютеры-и-электроника
Д
Дом-и-сад
С
Стиль-и-уход-за-собой
П
Праздники-и-традиции
Т
Транспорт
П
Путешествия
С
Семейная-жизнь
Ф
Философия-и-религия
Б
Без категории
М
Мир-работы
Х
Хобби-и-рукоделие
И
Искусство-и-развлечения
В
Взаимоотношения
З
Здоровье
К
Кулинария-и-гостеприимство
Ф
Финансы-и-бизнес
П
Питомцы-и-животные
О
Образование
О
Образование-и-коммуникации
yagunovaliza
yagunovaliza
10.05.2020 19:16 •  Математика

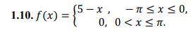
Разложить в ряд Фурье периодическую (с периодом w = 2pi) функцию f(x), заданную на отрезке [-pi;pi]


Разложить в ряд Фурье периодическую (с периодом w = 2pi) функцию f(x), заданную на отрезке [-pi;pi]

👇
Открыть все ответы
Ответ:
sheealice
sheealice
10.05.2020
Є і особливий вид мандрівників, які, приїжджаючи в нове місто, в першу чергу дізнаються про найпопулярніших магазинах, ринках і бутіках — це справжні шопоголіки, які їдуть в чужі країни саме за покупками, щоб у відпустці «відірватися по повній» і витратити все накопичене на обновки, подарунки друзям і сувеніри.Втім, певною мірою кожен мандрівник і турист є покупцем — не можна ж, насправді, повернутися з поїздки без такої дрібниці, як магнітик на холодильник, симпатична раковина, екзотична ваза, страхітлива маска, флакончик ароматичної олії, пляшка цього «Баккарді» або барвисте пончо? А утриматися при вигляді магічного слова «розпродаж», особливо якщо мова йде про відомий бренд, просто неможливо!У кожній країні є свій, найбільш відомий і популярний торговий центр, іноді такі магазини самі по собі стають ще однією визначною пам’яткою міста, обов’язковим місцем відвідування в списку кожного туриста.У цій статті представлений список самих відомих торгових центрів світу, які обов’язково варто відвідати, навіть якщо ви і не є шанувальником спонтанних покупок і не мають наміру збільшувати багаж.
4,5(54 оценок)
Ответ:
galinarezeda59
galinarezeda59
10.05.2020
Є і особливий вид мандрівників, які, приїжджаючи в нове місто, в першу чергу дізнаються про найпопулярніших магазинах, ринках і бутіках — це справжні шопоголіки, які їдуть в чужі країни саме за покупками, щоб у відпустці «відірватися по повній» і витратити все накопичене на обновки, подарунки друзям і сувеніри.Втім, певною мірою кожен мандрівник і турист є покупцем — не можна ж, насправді, повернутися з поїздки без такої дрібниці, як магнітик на холодильник, симпатична раковина, екзотична ваза, страхітлива маска, флакончик ароматичної олії, пляшка цього «Баккарді» або барвисте пончо? А утриматися при вигляді магічного слова «розпродаж», особливо якщо мова йде про відомий бренд, просто неможливо!У кожній країні є свій, найбільш відомий і популярний торговий центр, іноді такі магазини самі по собі стають ще однією визначною пам’яткою міста, обов’язковим місцем відвідування в списку кожного туриста.У цій статті представлений список самих відомих торгових центрів світу, які обов’язково варто відвідати, навіть якщо ви і не є шанувальником спонтанних покупок і не мають наміру збільшувати багаж.
4,7(48 оценок)
Это интересно:
Новые ответы от MOGZ: Математика
logo
Вход Регистрация
Что ты хочешь узнать?
Спроси Mozg
Открыть лучший ответ