М
Молодежь
К
Компьютеры-и-электроника
Д
Дом-и-сад
С
Стиль-и-уход-за-собой
П
Праздники-и-традиции
Т
Транспорт
П
Путешествия
С
Семейная-жизнь
Ф
Философия-и-религия
Б
Без категории
М
Мир-работы
Х
Хобби-и-рукоделие
И
Искусство-и-развлечения
В
Взаимоотношения
З
Здоровье
К
Кулинария-и-гостеприимство
Ф
Финансы-и-бизнес
П
Питомцы-и-животные
О
Образование
О
Образование-и-коммуникации
katya100507
katya100507
14.09.2022 13:24 •  Математика

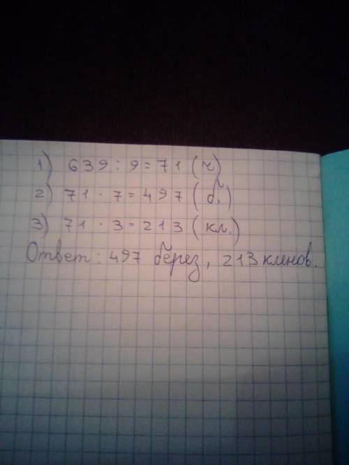
В парке всего 639 деревьев. Березы составляют 7/9 от всех деревьев сколько в парке берёз и клёнов

👇
Ответ:

ответ 497 берез, 142 клена

1) 639 · 7/9 = 497 берез

2) 639 - 497 = 142 клена


В парке всего 639 деревьев. Березы составляют 7/9 от всех деревьев сколько в парке берёз и клёнов
4,5(96 оценок)
Открыть все ответы
Ответ:
Камалия11
Камалия11
14.09.2022
Допустим карандаш стоит 1 руб., тогда альбом стоит 14 руб.
тогда 4 карандаша стоят 4*1=4, но т. к. альбом стоит 14 руб, а 4 не равно 14, то этот вариант не подходит.
Допустим карандаш стоит 5 руб., тогда альбом стоит 10 руб. тогда 4 карандаша будут стоить 4*5=20 руб., но т. к. альбом стоит 10 руб., а 10 не равно 20 руб.
Допусти карандаш стоит 3 руб., тогда альбом будет стоить 12 руб, а 4 карандаша - 4*3=12, а т. к. альбом стоит 12 руб., и 4 карандаша стоят 12 руб., то этот вариант нам подходит.
ответ:12 руб. у Оли
4,6(30 оценок)
Ответ:
nikolesmit
nikolesmit
14.09.2022

Непонятно, почему подбором. Но если подбором, то так

1. Предположим, что и альбом и карандаш стоят целое число рублей(без копеек) и у неё после покупки не остается ничего, то есть она тратит все свои деньги.

Тогда очевидно, что у Оли число денег, кратное 4, при этом их меньше 15руб.

Составим таблицу денег, кратных 4 и меньших 15

Денег               4        8        12

1 Карандаш   1        2          3

1 Альбом        14     13       12

 

Из которой видно, что только случай с 12 рублями удовлетворяет условию задачи.

ответ У Оли 12 рублей.

 

Замечание1 Этот результат можно было и просто ВЫЧИСЛИТЬ, а не подбирать, НО в условии задачи стоит "подбором", поэтому вариант с вычислением не привожу

 

Замечание2 Не знаю, не исследовал, что будет, если решать в копейках, попробуй, должно, вроде, получиться то же самое(а может и нет).

 

Замечание3 Выражение "на все свои деньги" я протрактовал, что ей не дают сдачу. Если это не так, то задача становится сложней, но всё равно решаемая.

 

Замечание4 И все-таки, метод подбора нужно откладывать на крайний случай, и пробовать все же найти решение вычислительными, а не переборными алгоритмами.

 

4,6(90 оценок)
Новые ответы от MOGZ: Математика
logo
Вход Регистрация
Что ты хочешь узнать?
Спроси Mozg
Открыть лучший ответ