М
Молодежь
К
Компьютеры-и-электроника
Д
Дом-и-сад
С
Стиль-и-уход-за-собой
П
Праздники-и-традиции
Т
Транспорт
П
Путешествия
С
Семейная-жизнь
Ф
Философия-и-религия
Б
Без категории
М
Мир-работы
Х
Хобби-и-рукоделие
И
Искусство-и-развлечения
В
Взаимоотношения
З
Здоровье
К
Кулинария-и-гостеприимство
Ф
Финансы-и-бизнес
П
Питомцы-и-животные
О
Образование
О
Образование-и-коммуникации
Electron57
Electron57
11.05.2022 08:48 •  Математика

РЕШИТЬ УРАВНЕНИЯ ! ( x +3,5)-4,8=2,4 , ( 7,1-x)+3,9=4,5

👇
Ответ:
norbyss32
norbyss32
11.05.2022

x=3,7  x=6,5

Пошаговое объяснение:

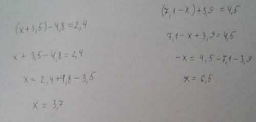
(x+3,5)-4,8=2,4      (7,1-x)+3,9=4,5

x+3,5-4,8=2,4        7,1-x+3,9=4,5

x-1,3=2,4                 11-x=4,5

x=2,4+1,3                -x=4,5-11

x=3,7                      -x=-6,5

                               x=6,5


РЕШИТЬ УРАВНЕНИЯ ! ( x +3,5)-4,8=2,4 , ( 7,1-x)+3,9=4,5
4,4(20 оценок)
Открыть все ответы
Ответ:
musalimovvlad
musalimovvlad
11.05.2022
 3      |_1000                  70,2    |_100           0,96|1000
 30    |0,003                   702,0  | 0, 702        9,60| 0,00096                                               300  |                              -        |                   96,0| 
 3000|                             700    |                   960 |
-                                                           9600|
 3000                                   20                     -
                               200                    9000|
    0                                 -                            
                                           200                   6000|
                                                        -   
                                           0                       6000|
                                                                   
                                                                       0
4,6(33 оценок)
Ответ:
knowwhatsorry104
knowwhatsorry104
11.05.2022

если я правильно поняла задание. то решу по действиям (т.е. сначала посчитаю каждую часть этих дробей:

1) 8:2 2/5 = 8: 12/5= 8* 5/12 = (2*4*5)/(3*4) = 10/3

2)5 1/4:7 = 21/4:7=21/4*1/7 = (21*1)/(4*7)=(3*7)/(4*7)  = 3/4

тогда 1 дробь становится такой : 10/3:3/4 = 10/3*4/3 = 40/9

для второй дроби:

1)2 1/7:5/7 =15/7*7/5 = (15*7)/(7*5) = 3

2)4:8/9 = 4*9/8 = (4*9)/8 = 9/2

дробь получается: 3:9/2 =3*2/9 = (3*2)/9 = 2/3

теперь делим то, что стало с первой дробью на вторую:

40/9:2/3 = 40/9*3/2 = (40*3)/(9*2) = (2*20*3)/(3*3*2) = 20/3 = 6 2/3


4,8(63 оценок)
Это интересно:
Новые ответы от MOGZ: Математика
Полный доступ к MOGZ
Живи умнее Безлимитный доступ к MOGZ Оформи подписку
logo
Вход Регистрация
Что ты хочешь узнать?
Спроси Mozg
Открыть лучший ответ