М
Молодежь
К
Компьютеры-и-электроника
Д
Дом-и-сад
С
Стиль-и-уход-за-собой
П
Праздники-и-традиции
Т
Транспорт
П
Путешествия
С
Семейная-жизнь
Ф
Философия-и-религия
Б
Без категории
М
Мир-работы
Х
Хобби-и-рукоделие
И
Искусство-и-развлечения
В
Взаимоотношения
З
Здоровье
К
Кулинария-и-гостеприимство
Ф
Финансы-и-бизнес
П
Питомцы-и-животные
О
Образование
О
Образование-и-коммуникации
sparksfiyfdgghffgg
sparksfiyfdgghffgg
28.08.2021 20:16 •  Математика

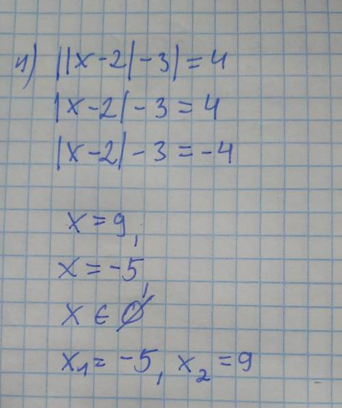
||x-2|-3|=4
И
|5-|x+3.6||-1=6
развернуто

👇
Ответ:
лыл3
лыл3
28.08.2021

Извини, я понял только первое


||x-2|-3|=4И|5-|x+3.6||-1=6 развернуто
||x-2|-3|=4И|5-|x+3.6||-1=6 развернуто
4,8(38 оценок)
Открыть все ответы
Ответ:
alina17anilaalina
alina17anilaalina
28.08.2021

ответ:

пошаговое объяснение:

1) 49z - z = 384 - вынести за скобки общий множитель z, а в скобках записать разницу чисел 49 и 1, получим: z(49 - 1) = 384, 48z = 384, z = 384: 48, z = 384/48. сделаем проверку, для этого в уравнение вместо z подставим число 384/48, получим: 49*384/48 - 1 * 384/48 = 384, 384/48( 49 - 1) = 384, 384 = 384.  

2) 102k - 4k = 1960 - вынести за скобки общий множитель k, а в скобках записать разницу чисел 102 и 4, получим: k(102-4) = 1960, 98k = 1960, k = 1960: 98, k = 20. сделаем проверку, для этого в уравнение вместо k подставим число 20, получим: 102*20 - 4*20 = 1960, 20*98 = 1960, 1960 = 1960.

4,8(87 оценок)
Ответ:
maksim393
maksim393
28.08.2021

ответ:

пошаговое объяснение:

1) 49z - z = 384 - вынести за скобки общий множитель z, а в скобках записать разницу чисел 49 и 1, получим: z(49 - 1) = 384, 48z = 384, z = 384: 48, z = 384/48. сделаем проверку, для этого в уравнение вместо z подставим число 384/48, получим: 49*384/48 - 1 * 384/48 = 384, 384/48( 49 - 1) = 384, 384 = 384.  

2) 102k - 4k = 1960 - вынести за скобки общий множитель k, а в скобках записать разницу чисел 102 и 4, получим: k(102-4) = 1960, 98k = 1960, k = 1960: 98, k = 20. сделаем проверку, для этого в уравнение вместо k подставим число 20, получим: 102*20 - 4*20 = 1960, 20*98 = 1960, 1960 = 1960.

4,5(70 оценок)
Новые ответы от MOGZ: Математика
logo
Вход Регистрация
Что ты хочешь узнать?
Спроси Mozg
Открыть лучший ответ