М
Молодежь
К
Компьютеры-и-электроника
Д
Дом-и-сад
С
Стиль-и-уход-за-собой
П
Праздники-и-традиции
Т
Транспорт
П
Путешествия
С
Семейная-жизнь
Ф
Философия-и-религия
Б
Без категории
М
Мир-работы
Х
Хобби-и-рукоделие
И
Искусство-и-развлечения
В
Взаимоотношения
З
Здоровье
К
Кулинария-и-гостеприимство
Ф
Финансы-и-бизнес
П
Питомцы-и-животные
О
Образование
О
Образование-и-коммуникации
Mishanaxsar
Mishanaxsar
11.09.2022 20:23 •  Математика

Объясните примеры:

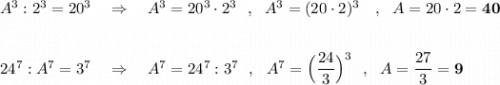
³:2³=20³ и 24⁷: ⁷=3⁷

👇
Ответ:
lilyavenkova
lilyavenkova
11.09.2022

Применяем правила действия со степенями .

A^3:2^3=20^3\ \ \ \Rightarrow \ \ \ A^3=20^3\cdot 2^3\ \ ,\ \ A^3=(20\cdot 2)^3\ \ \ ,\ \ A=20\cdot 2=\boldsymbol{40}24^7:A^7=3^7\ \ \ \Rightarrow \ \ \ A^7=24^7:3^7\ \ ,\ \ A^7=\Big(\dfrac{24}{3}\Big)^3\ \ ,\ \ A=\dfrac{27}{3}=\boldsymbol{9}

4,6(18 оценок)
Открыть все ответы
Ответ:
KILKOlo
KILKOlo
11.09.2022

0,4  0,15625

Пошаговое объяснение:

0,4  0,156251\4 заказа  делает мастер на 1 час

1\6 заказа делает ученик на 1 час 1\4+1\6=3\12+2\12=5\12 заказа - делают мастер и ученик за час

12\5*2=24\5=4.8 часа - за такое время мастер и ученик сделают два заказа

ответ: 4,8 часа

Поскольку мастер за час выполняет 1/4 заказа, а ученик 1/6 заказа, то вдвоем они за час делают  1/4 + 1/6 = (3 + 2)/12 = 5/12 заказа, то есть на выполнение заказа им нужно  12/5 = 2,4 часа или 2 часа 24 минуты. Соответственно на выполнение двух заказов им потребуется 4 часа 48 минут.  

4,8(100 оценок)
Ответ:
clen1clenom
clen1clenom
11.09.2022

1) швидкість і час руху на ділянці шляху 50 км; і

2) швидкість руху і шлях, пройдений за 3 год;

3) об'єм роботи, виконаний за 7 год, і продуктивність праці;

4) продуктивність станка і час виготовлення на ньому 300 деталей;

5) вартість відрізу тканини і його довжина при ціні 35 грн за метр;

6) ціна зошитів і їх кількість, які можна купити на 24 грн;

7) довжини сторін прямокутника, площа якого дорівнює 60 м2;

8) маса речовини у 200 г розчинуійого концентрація. oiron na пеякий час відстань 60 км. Яку відстань він

4,4(96 оценок)
Это интересно:
Новые ответы от MOGZ: Математика
logo
Вход Регистрация
Что ты хочешь узнать?
Спроси Mozg
Открыть лучший ответ