Почвенный покров – важнейшее природное образование. Его роль в жизниобщества определяется тем, что почва представляет собой источникпродовольствия, обеспечивающий 95-97 % продовольственных ресурсов длянаселения планеты. Продуктивность наземных экосистем зависит от теплового и водногобалансов земной поверхности, которые определяют многообразие форм обменаэнергией и веществом в пределах географической оболочки планеты. Площади земельных ресурсов мира составляет 129 млн. км2, или 86,5%площади суши. Под пашней и многолетними насаждениями в угодий занято около 15 млн. км2 (10% суши), подсенокосами и пастбищами – 37,4 млн. км2 (25%). Общая площадьпахотнопригодных земель оценивается различными исследователями по-разному:от 25 до 32 млн. км2. Земельные ресурсы планеты позволяют обеспечивать продуктами питаниябольше населения, чем имеется в настоящее время. Вместе с тем, в связи сростом населения, особенно в развивающихся странах, деградацией почвенногопокрова, загрязнения, эрозии и т.д.; а также вследствие отвода земель подзастройку городов, поселков и промышленных предприятий количество пашни надушу населения резко сокращается. Воздействие человека на почву – составная часть общего влияниячеловеческого общества на земную кору и ее верхний слой, на природу вцелом, особенно возросшее в век научно-технической революции. При этом нетолько усиливается взаимодействие человека с землей, но и меняются основныечерты взаимодействия. Проблема «почва – человек» осложняется урбанизацией,все большим использованием земель, их ресурсов для индустриального ижилищного строительства, ростом потребностей в продуктах питания. По волечеловека изменяется характер почвы, меняются факторы почвообразования –рельеф, микроклимат, появляются новые реки и т.д. Под влияниемпромышленных и сельскохозяйственных загрязнений изменяются свойства почвы ипочвообразовательные процессы, потенциальное плодородие, снижаетсятехнологическая и питательная ценность сельскохозяйственной продукции ит.д. Загрязнение природной среды – сложный процесс, связанный сдеятельностью человека. Автор фундаментальной сводки по экологии Ю. Одум указывает, что «загрязнение – это природные ресурсы, оказавшиеся нена своем месте», ибо они чужды природным экосистемам и, накапливаясь в них,нарушают процессы круговорота вещества и энергии, снижают ихпродуктивность, влияют на здоровье людей. В книге Франсуа Рамада (1981) «Основы прикладной экологии» приводитсятакое определение загрязнения: «Загрязнение есть неблагоприятное изменениеокружающей среды; которое целиком или частично является результатомчеловеческой деятельности, прямо или косвенно меняет распределениеприходящей энергии, уровни радиации, физико-химические свойства окружающейсреды и условия существования живых существ. Эти изменения могут влиять начеловека прямо или через сельскохозяйственные ресурсы, через воду илидругие биологические продукты (вещества). Они также могут воздействовать начеловека, ухудшая физические свойства предметов, находящихся в егособственности, условия отдыха на природе и обезображивая ее саму» Загрязнителем может быть любой физический агент, химическое вещество ибиологический вид, попадающие в окружающую среду или возникающие в ней вколичествах, выходящих в рамки своей обычной концентрации, предельныхколичествах, предельных естественных колебаний или среднего природного фонав рассматриваемое время. Основным показателем, характеризующим воздействие загрязняющих веществна окружающую природную среду, являются предельно допустимая концентрация(ПДК). С позиции экологии предельно допустимые концентрации конкретноговещества представляют собой верхние пределы лимитирующих факторов среды (вчастности, химических соединений), при которых их содержание не выходит задопустимые границы экологической ниши человека. В соответствии со степенью устойчивости против загрязняющих веществвыделяются почвы: 1. очень устойчивые; 2. устойчивые; 3. среднеустойчивые; 4. малоустойчивые; 5. очень мало устойчивые.
Элли 2 часа Тотошка 0 часов Лев 1 час Страшила 4 часа Железный человек 3 часа Вопросы: По диаграмме определить: а) Кто дежурил у костра дольше всех? (Страшила) б) Сколько времени всего персонажи дежурили у костра? (10 часов) в) Кто из персонажей не дужурил вообще? (Тотошка) г) Вычислить среднеарифметическое время одного дежурства и выяснить, кто из персонажей дежурил время, равное средне арифметическому? ((2+0+1+4+3)/5=10/5=2 часа. 2 часа дежурила Элли) д) Насколько больше или меньше, чем Тотошка дежурил Железный человек? (Жележный человек - 3 часа, Тотошка - 0 часов. - На 3 часа больше) е) то дежурил дольше: Железный человек или Лев? На сколько дольше? (Железный человек - 3 часа, Лев - 1 час. 3-1=2 - на 2 часа Железный человек дежурил дольше, чем Лев) Диаграмма во вложении
Пошаговое объяснение:
Рассмотрим содержимое больших скобок в левой части уравнения как бесконечно убывающую геометрическую прогрессию с
и 

Тогда ее сумма
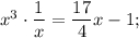
и данное уравнение можно переписать так:
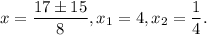
Дискриминант этого квадратного уравнения
откуда
Так как по условию задачи
полученный корень
— посторонний.