М
Молодежь
К
Компьютеры-и-электроника
Д
Дом-и-сад
С
Стиль-и-уход-за-собой
П
Праздники-и-традиции
Т
Транспорт
П
Путешествия
С
Семейная-жизнь
Ф
Философия-и-религия
Б
Без категории
М
Мир-работы
Х
Хобби-и-рукоделие
И
Искусство-и-развлечения
В
Взаимоотношения
З
Здоровье
К
Кулинария-и-гостеприимство
Ф
Финансы-и-бизнес
П
Питомцы-и-животные
О
Образование
О
Образование-и-коммуникации
amusabekova
amusabekova
04.12.2020 08:51 •  Математика

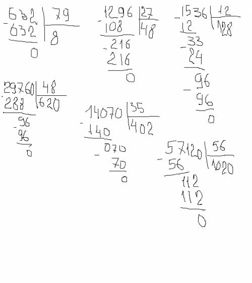
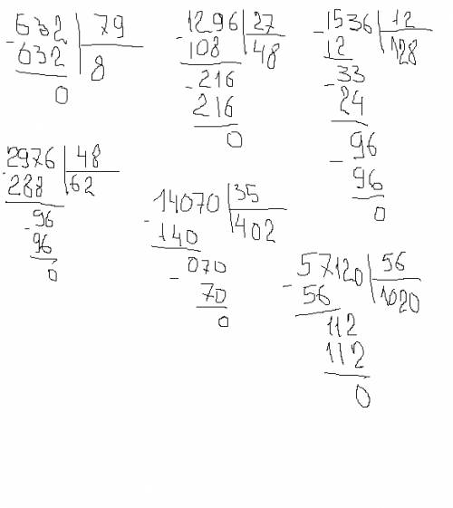
Деление столбиком приз! : 632/79 1296/27 1536/12 29760/48 14070/35 57120/56

👇
Ответ:
Vika17112003
Vika17112003
04.12.2020
Решение смотри во вложении
 в первом вложении маленькая ошибка 29760:48=620
смотри второе вложение
Деление столбиком приз! : 632/79 1296/27 1536/12 29760/48 14070/35 57120/56
Деление столбиком приз! : 632/79 1296/27 1536/12 29760/48 14070/35 57120/56
4,4(98 оценок)
Открыть все ответы
Ответ:
anastasiamrz
anastasiamrz
04.12.2020
Есть  длинный  способ  решения  : найдем  площадь  фасоли  н  первом  участке 6: 100*1=0,06  сток найдем  площадь  фасоли  на  втором  участке 8: 100*1=0,08  соток найдем  на  сколько  меньше 0,08-0,06=0,02  сотки и  короткий  способ  решения  : найдем  найдем  на  сколько  первый  участок  меньше  второго 8-6=2 сотки найдем  площадь  фасоли 2: 100*1=0,02  сотки
4,5(80 оценок)
Ответ:
ната1142
ната1142
04.12.2020
Великая китайская стена — крепостная стена в северном китае; грандиозный памятник зодчества древнего китая. стена протянлась от цзяюйгуаня (провинция ганьсу) до ляодунского залива. длина, по одним рассчетам составляет около 4 тысяч км, по другим — свыше 6 тысяч км; высота 6,6 м, на отдельных участках до 10 м. строительство великой китайской стены было начато по приказу императора цинь шихуанди после объединения китая (221 год до н. э. ) для прикрытия северо-западных границ империи от нападения кочевых народов. в 3 веке до н. э. она была в основном построена. впоследствии стена неоднократно достраивалась и ремонтировалась. на всем ее протяжении были сооружены казематы для охраны и сторожевые башни, а у главных горных проходов — крепости. полностью реставрирован участок великой китайской стены близ пекина. великая китайская стена, крепостная стена в сев. китае, грандиозный памятник зодчества др. китая. первые участки воздвигнуты в 4-3 вв. до н. э. после объединения китая (221 до н. э. ) имп. цинь ши-хуанди приказал воздвигнуть сплошную стену, чтобы прикрыть сев. -зап. границы империи от нападений кочевых народов. впоследствии в. к. с. неоднократно достраивалась и ремонтировалась. проходит с в. на 3. от г. шаньхайгуань, на побережье ляодунского зал. , до пункта цзяюйгуань (пров. ганьсу) . длина в. к. с. , по одним предположениям, не превышает 4 тыс. км, по другим - св. 5 тыс. км; вые. 6,6 м (на отд. участках до 10 м) , ширина ниж. части ок. 6,5 м, верхней ок. 5,5 м. на всём протяжении в. к. с. сооружены казематы для охраны и сторожевые башни, а у гл. горных проходов - крепости. в значит, части в. к. с. сохранилась до наших дней.
4,6(63 оценок)
Это интересно:
Новые ответы от MOGZ: Математика
logo
Вход Регистрация
Что ты хочешь узнать?
Спроси Mozg
Открыть лучший ответ