М
Молодежь
К
Компьютеры-и-электроника
Д
Дом-и-сад
С
Стиль-и-уход-за-собой
П
Праздники-и-традиции
Т
Транспорт
П
Путешествия
С
Семейная-жизнь
Ф
Философия-и-религия
Б
Без категории
М
Мир-работы
Х
Хобби-и-рукоделие
И
Искусство-и-развлечения
В
Взаимоотношения
З
Здоровье
К
Кулинария-и-гостеприимство
Ф
Финансы-и-бизнес
П
Питомцы-и-животные
О
Образование
О
Образование-и-коммуникации
блабла70
блабла70
21.07.2021 22:56 •  Математика

Если разделить некое двузначное число на сумму его цифр, то в частном получится 6, а в остатке 2. если разделить это число на произведение его цифр, то в частном получится 1, а в остатке 38. найдите данное число.

👇
Ответ:
gomonovdima71
gomonovdima71
21.07.2021
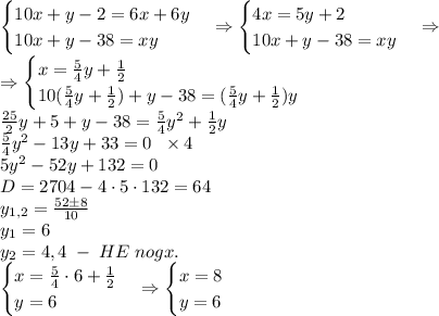
Пусть в этом числе x десятков и y единиц (x и y - целые числа от 0 до 9). Тогда само число 10x+y.
Сумма цифр числа (x+y), произведение xy.
По условию задачи:
\begin{cases}\frac{10x+y-2}{x+y}=6\\\frac{10x+y-38}{xy}=1\end{cases}
(вычитаем 2 и 38, т.к. это остатки от деления).
\begin{cases}{10x+y-2}=6x+6y\\{10x+y-38}=xy\end{cases}\Rightarrow\begin{cases}{4x=5y+2\\{10x+y-38}=xy\end{cases}\Rightarrow\\\Rightarrow\begin{cases}{x=\frac54y+\frac12\\{10(\frac54y+\frac12)+y-38}=(\frac54y+\frac12)y\end{cases}\\\frac{25}2y+5+y-38=\frac54y^2+\frac12y\\\frac54y^2-13y+33=0\;\;\times4\\5y^2-52y+132=0\\D=2704-4\cdot5\cdot132=64\\y_{1,2}=\frac{52\pm8}{10}\\y_1=6\\y_2=4,4\;-\;HE\;nogx.\\\begin{cases}x=\frac54\cdot6+\frac12\\y=6\end{cases}\Rightarrow\begin{cases}x=8\\y=6\end{cases}
Это число 86.
4,8(95 оценок)
Открыть все ответы
Ответ:
zhalamine
zhalamine
21.07.2021
А) sinxcosx+√3 cos^2x=0
cosx(sinx+√3cosx)=0
произведение двух сомножителей равно нулю тогда, когда хотя бы один из множителей равен 0, а другой при этом существует
cosx=0
x=Π/2+Πn, n€Z
sinx+√3cosx=0 | : на cosx
tgx+√3=0
tgx=-√3
x=-Π/3+Πk, k€Z
ответ: -Π/3+Πk, k€Z; Π/2+Πn, n€Z
б) cos2x+9sinx+4=0
1-2sin^2x+9sinx+4=0
-2sin^2x+9sinx+5=0
Пусть t=sinx, где t€[-1;1], тогда
-2t^2+9t+5=0
D=81+40=121
t1=-9-11/-4=5 посторонний корень
t2=-9+11/-4=-1/2
Вернёмся к замене
sinx=-1/2
x1=-5Π/6+2Πn, n€Z
x2=-Π/6+2Πn, n€Z
ответ: -5Π/6+2Πn, -Π/6+2Πn, n€Z
4,7(81 оценок)
Ответ:
kulanforever
kulanforever
21.07.2021
ДУМАЕМ
1)Догонят из-за разности скоростей.
2) Второму надо проехать больше - третий за 15 минут уедет.
РЕШАЕМ
Время встречи первого - догнал третьего.
t(1,3) = S / (V1-V3) = 30/(15-9) = 5 часов - 
Переводим 15 мин = 0,25 часа.
Вычисляем путь третьего за  0,25 часа
S3 = V3*t3 = 9*0.25 = 2.25 км.
Время встречи встречи второго - догнал третьего
t(2,3) = (S +S3)/(V2-V3) =(30+2.25)/(15-9) = 5.375 час = 5 час 22.5 мин.
Интервал будет в 22.5 мин. - УРА!, но не правильно.
ДУМАЕМ ещё сильнее.
НАДО найти ИНТЕРВАЛ времени, который возник из-за разности путей после разного времени старта t3=15 мин за счет разности скоростей 15-9.
РЕШАЕМ В ОДНО УРАВНЕНИЕ.
dT= (V3*t3) / (V2-V3) = 9*0.25/(15-9) = 9/6*0.75= 0.375 час = 22,5 мин.
Вот это ПРАВИЛЬНОЕ решение 
4,6(70 оценок)
Это интересно:
Новые ответы от MOGZ: Математика
logo
Вход Регистрация
Что ты хочешь узнать?
Спроси Mozg
Открыть лучший ответ