М
Молодежь
К
Компьютеры-и-электроника
Д
Дом-и-сад
С
Стиль-и-уход-за-собой
П
Праздники-и-традиции
Т
Транспорт
П
Путешествия
С
Семейная-жизнь
Ф
Философия-и-религия
Б
Без категории
М
Мир-работы
Х
Хобби-и-рукоделие
И
Искусство-и-развлечения
В
Взаимоотношения
З
Здоровье
К
Кулинария-и-гостеприимство
Ф
Финансы-и-бизнес
П
Питомцы-и-животные
О
Образование
О
Образование-и-коммуникации
gagarinken
gagarinken
26.03.2020 08:30 •  Математика

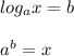
Метод решения уравнения: log3(x+7)=1

👇
Ответ:
danil2001334
danil2001334
26.03.2020
Логарифм по основанию a от аргумента x-это степень, в которую надо возвести число a, чтобы получить число x.

log_{a} x=b \\ \\ a^{b} =x

Это теория,теперь ваш случай:

x+7= 3^{1} \\ x+7=3 \\ \\ x=-4
4,5(100 оценок)
Ответ:
HikariRayto
HikariRayto
26.03.2020
Перепишем уравнение в виде: х+7=3 ⇔ х=-4 
4,5(49 оценок)
Открыть все ответы
Ответ:
QueenAlinacom
QueenAlinacom
26.03.2020

Итак, нам нужно найти сколько граммов сахара нужно добавить к 180 граммам воды, чтобы получить 10 % - ый раствор сахара.

Для этого мы составим и решим пропорцию.

Давайте примем за 100 % весь раствор сахара с водой. Если в растворе 10 % сахара, то вычислим какой процент в ней воды:

100 - 10 = 90 %.

Обозначим с переменной x грамм вес сахара.

180 грамм воды — 90 %;

x грамм сахара — 10 %;

180/x = 90/10;

x = (180 * 10)/90 = 1800/90 = 20 грамм сахара нужно добавить в 180 грамм воды, чтобы получить 10 % раствор сахара.

Пошаговое объяснение:

4,8(79 оценок)
Ответ:
ENOT234u
ENOT234u
26.03.2020
В 1808 году нижегородцы собрали деньги по подписке на памятник великому земляку. В конкурсе на лучший проект победила работа Мартоса. Однако скульптор смог доказать, что памятник должен находиться в Москве, где его и установили в 1817 году на Красной площади возле Торговых рядов. В 1930 году памятник перенесли к собору Василия Блаженного. В Нижнем памятник Козьме Минину появился только во время Великой Отечественной войны, когда в центре города, на площади его имени, была установлена скульптура Александра Колобова.
4,4(86 оценок)
Это интересно:
Новые ответы от MOGZ: Математика
logo
Вход Регистрация
Что ты хочешь узнать?
Спроси Mozg
Открыть лучший ответ